Lexikon der Geowissenschaften: Theissches Typkurvenverfahren
Theissches Typkurvenverfahren, Theis-Verfahren, ein Verfahren zur Auswertung von instationären Pumpversuchen in gespannten und freien Grundwasserleitern. Theis entwickelte 1935 als erster eine Gleichung, durch die sich die Absenkung sowohl als Funktion der Zeit als auch der Entfernung zum Entnahmebrunnen bestimmen läßt, also die Auswertung instationärer Pumpversuche erlaubt. Die Gleichung wurde zwar ursprünglich in Analogie zur Wärmeleitung entwickelt, läßt sich aber auch, wie Jacob 1940 zeigte, als eine Lösung der Differentialgleichung der Grundwasserströmung herleiten. Für die Gültigkeit der Brunnenformel von Theis müssen folgende Annahmen gelten: a) Der Grundwasserleiter ist seitlich unbegrenzt. b) Der Grundwasserleiter ist homogen und isotrop. c) Die Grundwasserströmung ist instationär, d.h. die Absenkung und der hydraulische Gradient ändern sich mit der Zeit. d) Der Wasser- bzw. Druckspiegel ist vor Pumpbeginn horizontal. e) Die Entnahmemenge ist konstant. f) Der Brunnen ist ein vollkommener Brunnen, d.h. er erfaßt die gesamte Mächtigkeit des Grundwasserleiters. g) Es gilt das Darcy-Gesetz. h) Der Grundwasserleiter spricht unmittelbar und nicht verzögert auf Druckveränderungen an. Unter der Voraussetzung, daß diese Annahmen erfüllt sind, lautet die Brunnenformel von Theis:
mit:
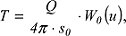
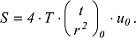
wobei s=Absenkung [m], Q=Entnahmerate [m3/s], T=Transmissivität [m2/s], r=Entfernung zum Entnahmebrunnen [m], S=Speicherkoeffizient, t=Zeit seit Pumpbeginn [s]. W(u) ist die sogenannte Theissche Brunnenfunktion, eine Exponential-Integral-Funktion. Eine explizite Bestimmung der geohydraulischen Parameter aus der Brunnenformel von Theis ist nicht möglich, da die Transmissivität T als Unbekannte sowohl im Argument der Funktion als auch im Nenner des Integrals steht. Deshalb geht man den Weg einer graphischen Lösung, dem sogenannten Typkurvenverfahren. Dazu formt man die Gleichung von Theis und die Gleichung für u wie folgt um:

Dabei sind die in Klammern stehenden Ausdrücke Konstanten, da sich Q, S und T während des Pumpversuchs nicht ändern. Das bedeutet für die erste Gleichung: Addiert man zu lgW(u) einen konstanten Betrag, erhält man lgs; für die zweite Gleichung: Addiert man zu lg1/u einen konstanten Betrag, erhält man lgt/r2. Trägt man nun lgW(u) gegen lg1/u und lgs gegen lgt/r2 als Kurven auf, so sind beide Kurven identisch und nur um den Betrag [lg(Q/4πt)] auf der W(u)- bzw. s-Achse und [lg(S/4t)]auf der 1/u- bzw. t/r2-Achse parallel gegeneinander verschoben. Zur Auswertung trägt man nun W(u) gegen 1/u auf doppelt-logarithmischem Papier auf. Dies ist die sogenannte Theis-Typkurve. Seltener wird statt 1/u auch u oder √u verwendet. Dann muß Gleichung entsprechend so umgeformt werden, daß lgu bzw. lg√u den letzten Summanden ergibt. Für die sogenannte Datenkurve trägt man s gegen t/r2 auf doppelt-logarithmischem Transparentpapier auf. Nun bringt man beide Kurven durch achsenparalleles Verschieben zur Deckung ( Abb.). Dabei ist besonders der Bereich mit der stärksten Kurvenkrümmung von Bedeutung. Danach wählt man einen Punkt auf dem überlappenden Bereich beider Blätter aus, den sogenannten match point. Dieser muß nicht unbedingt auf den Kurven selbst liegen. Für diesen Punkt bestimmt man die Koordinaten W0(u), 1/u0 (davon den Kehrwert u0 bilden), s0 und (t/r2)0. Zur Bestimmung der geohydraulischen Parameter Transmissivität T und Speicherkoeffizient S wird nun die Gleichung von Theis und die Gleichung für u umgeformt zu:
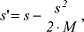
Die Gleichung von Theis gilt in obiger Form nur für gespannte Grundwasserleiter. Sie läßt sich aber leicht auch für freie Grundwasserleiter anwenden, verwendet man statt der Absenkung s die korrigierte Absenkung s', wobei gilt:
wobei s' die korrigierte Absenkung, s die gemessene Absenkung und M die wassererfüllte Mächtigkeit des freien Grundwasserleiters vor Versuchsbeginn darstellen. Die graphische Auswertung anhand des Typkurven-Verfahrens verläuft analog zum gespannten Grundwasserleiter, wobei alle gemessenen Absenkungen zunächst korrigiert und dann in allen Gleichungen die korrigierten Absenkungen verwendet werden. [WB]
Literatur: [1] Dawson, K.J., Istok, J.D. (1991): Aquifer Testing. Design and Analysis of Pumping and Slug Tests. – Chelsea. [2] Krusemann, G.P., De Ridder, N. A. (1990): Analysis and evaluation of pumping test data. – Int. Inst. F. Land Reclamation and Improvement Wageningen. Wageningen. [3] Langguth, H.R., Voigt, R. (1980): Hydrogeologische Methoden. – Berlin, Heidelberg, New York. [4] Theis, C.V. (1935): Relation between the lowering of the piezometric surface and the rate and duration of the discharge of a well using ground-water storage. – Am. Geophys. Union, 2: 519–524, Richmond.
Theissches Typkurvenverfahren: Überlagerung der Typkurve W(u)-1/u und der Datenkurve s-t/r2 (beide auf doppel-logarithmischem Papier) durch achsenparalleles Verschieben. Theissches Typkurvenverfahren:

Wenn Sie inhaltliche Anmerkungen zu diesem Artikel haben, können Sie die Redaktion per E-Mail informieren. Wir lesen Ihre Zuschrift, bitten jedoch um Verständnis, dass wir nicht jede beantworten können.