Lexikon der Geowissenschaften: Treibhauseffekt
Treibhauseffekt
Herbert Fischer, Karlsruhe
Die atmosphärischen Spurenstoffe (Spurengase und Aerosole) sind wichtige Komponenten im Strahlungshaushalt des Systems Erde/Atmosphäre. Die einfallende solare Strahlung wird zu einem kleineren Teil vom System Erde/Atmosphäre direkt in den Weltraum zurückreflektiert, während der größere Anteil an der Erdoberfläche und in der Atmosphäre durch Wolken sowie wenige Spurenstoffe absorbiert wird. Die dem System zugeführte Energie wird durch Abstrahlung im infraroten Spektralbereich wieder an den Weltraum abgegeben. Dieser Prozeß hängt im wesentlichen von den optischen Eigenschaften und der räumlichen Verteilung der Spurenstoffe in der Atmosphäre sowie den Wolken ab. Die Hauptbestandteile der Luft, nämlich Stickstoff und Sauerstoff, absorbieren die elektromagnetische Strahlung im sichtbaren und infraroten Spektralbereich wegen ihrer symmetrischen Molekülstruktur nur in geringem Maße. Bei der Absorption von Sonnenstrahlung spielen nur wenige Spurenstoffe, nämlich Wasserdampf (H2O), Ozon (O3) und Aerosol eine wesentliche Rolle. Sie ist jedoch bei weitem nicht so bedeutend wie bei der infraroten Abstrahlung des Systems Erde/Atmosphäre in den Weltraum. Bei dem zuletzt genannten Prozeß tragen neben den bereits angeführten Spurenstoffen insbesondere auch Kohlendioxid (CO2) und in deutlich geringerem Maße Methan (CH4), Distickstoffoxid (N2O) sowie Fluorchlorkohlenwasserstoffe (FCKW) bei. Daher wirkt sich eine Veränderung der Konzentrationen der Spurengase auf den Strahlungshaushalt aus. Die wichtigsten Spurengase für den Strahlungshaushalt sind demnach H2O, O3 und CO2. Während die Konzentration der beiden zuerst genannten Gase räumlich und zeitlich stark variiert, weist das Kohlendioxid ein fast durchweg konstantes Mischungsverhältnis in der Atmosphäre auf. Eine Veränderung der mittleren globalen Wasserdampfkonzentration konnte bis heute noch nicht eindeutig festgestellt werden – insbesondere bedingt durch die starken räumlichen und zeitlichen Variationen in der Wasserdampfverteilung. Durch die intensiven Messungen der Ozonverteilung in der Atmosphäre und die sorgfältigen Vergleiche der Ergebnisse verschiedener Meßinstrumente sind heute der negative Trend der Ozonkonzentration in der Stratosphäre und der positive Trend in bodennahen Schichten nachgewiesen. Für einzelne Regionen und bestimmte Jahreszeiten sind starke Veränderungen beobachtet worden, wie z.B. die Abnahme des stratosphärischen Ozons in der Antarktis im Oktober und die Zunahme des troposphärischen Ozons in mittleren Breiten der Nordhemisphäre. Der globale Anstieg des CO2-Mischungsverhältnisses in der Atmosphäre ist bereits seit mehreren Jahrzehnten dokumentiert. Aus diesem Grund ist auf dem Gebiet der Klimaforschung zunächst das CO2-Problem in den Vordergrund gerückt. Mitte der 1970er Jahre erkannte man jedoch, daß neben den drei Hauptgasen eine Reihe von anderen Spurengasen, wie z.B. CH4, N2O und FCKW, eine Rolle im Strahlungshaushalt spielen. Deren Bedeutung ergab sich aus der Lage ihrer Absorptionsbanden im mittleren Infrarot im oder am Rande des sogenannten atmosphärischen Fensters und durch den meist wesentlich rascher verlaufenden Konzentrationsanstieg im Vergleich zu CO2.
Den Effekt des troposphärischen Aerosols auf die Strahlungsbilanz zu bestimmen, gestaltet sich nach wie vor schwierig, da die Aufenthaltsdauer des Aerosols in der Troposphäre (Tage bis zu einem Monat) kurz ist und damit die globale Verteilung stark variiert und da wegen der verschiedenartigen Quellen die Strahlungseigenschaften des Aerosols starken Schwankungen in Raum und Zeit unterworfen sind. Längerfristige globale Konzentrationsänderungen sind schwer nachzuweisen. Mit großer Wahrscheinlichkeit haben die Aerosolteilchen in der Umgebung von Industrieregionen zugenommen, wobei sich der Anstieg der Teilchenzahl auf Radien kleiner als 0,15 μm bezieht.
Der natürliche Treibhauseffekt
Ohne Atmosphäre ergibt sich aus der Strahlungsbilanz eine mittlere Temperatur an der Erdoberfläche von nur etwa -18º C. Die durch die Sonnenstrahlung dem Boden zugeführte Energie wird im infraroten Spektralbereich wieder an den Weltraum abgegeben. In der Atmosphäre wird die von der Erdoberfläche emittierte Wärmestrahlung von im Infraroten absorbierenden Spurengasen weitgehend absorbiert. Die Spurengase emittieren entsprechend der atmosphärischen Temperatur ihrerseits Wärmestrahlung, die partiell wieder zur Erdoberfläche zurückgestrahlt wird. Dies führt zu einer größeren Energieaufnahme der Erdoberfläche als ohne Atmosphäre und damit zur Erwärmung der Erdoberfläche sowie einem neuen Gleichgewichtszustand der Energieflüsse. Durch diesen Prozeß stellt sich an der Erdoberfläche unter gegenwärtigen Bedingungen eine mittlere Temperatur von +15ºC ein. Da die meisten atmosphärischen Spurenstoffe jedoch die Sonnenstrahlung im sichtbaren Spektralbereich kaum schwächen, spricht man vom „Treibhauseffekt der Spurenstoffe”. Abb. 1 zeigt schematisch die Wirkung der Spurenstoffe in der Atmosphäre auf die Strahlungsflüsse. Genau betrachtet ist der Vergleich mit einem Treibhaus nicht korrekt. In einem Treibhaus wird die erhitzte Luft am Entweichen gehindert. In der Atmosphäre dagegen wird die Strahlung durch die Spurengase absorbiert und damit die Ausbreitung der Strahlung in den Weltraum behindert. Ein zusätzliches Argument für den natürlichen Treibhauseffekt, auch Glashauseffekt, ergibt sich aus der Betrachtung der Strahlungsprozesse in der Troposphäre. In dieser Region nimmt die Temperatur mit zunehmender Höhe im Mittel um ca. 6,5ºC/km ab. Die Spurengase in einer atmosphärischen Schicht emittieren Wärmestrahlung als Funktion der lokalen Temperatur; ihre Absorption hängt von der Temperatur der anderen atmosphärischen Schichten und der Erdoberfläche ab, da dort der Ursprung der einfallenden Strahlung ist. Aus diesem Grund absorbieren die Spurengase mehr von dem aufwärts gerichteten, aus warmen Schichten kommenden Strahlungsfluß als sie selbst an Strahlungsenergie wieder in den oberen Halbraum emittieren. Die Transmission der Spurengase im infraroten Spektralbereich ist der Grund, warum Spurengase mit sehr niedrigen Konzentrationen wesentlich zum Treibhauseffekt beitragen können. Der Hauptteil der Wärmestrahlung wird im Wellenlängenbereich zwischen 4 μm und 100 μm abgestrahlt. Der dominante Absorber in der Atmosphäre ist der Wasserdampf, der Strahlung von der Erdoberfläche mit Wellenlängen größer als 18 μm und kleiner als 8 μm fast vollständig absorbiert. Die Transmission der Atmosphäre ist in diesen Spektralbereichen meist nahezu Null, d.h. nur im Vergleich zur Erdoberfläche relativ kalte höhere atmosphärische Schichten können Strahlung in den Weltraum abgeben. In Analogie dazu dominiert das Kohlendioxid die atmosphärische Absorption im Wellenlängenbereich zwischen 13 μm und 18 μm. Der verbleibende Spektralbereich zwischen 8 μm und 13 μm ist bekannt als atmosphärisches Fenster, weil die Atmosphäre in diesem Bereich für Strahlung weitgehend durchlässig ist. Folglich wird in diesem Wellenlängenbereich Wärmestrahlung von der Erdoberfläche direkt in den Weltraum abgestrahlt, d.h. eine Veränderung der atmosphärischen Absorptionseigenschaften im Fensterbereich muß empfindliche Auswirkungen auf die Strahlungsbilanz des Systems Erde/Atmosphäre haben. Entscheidend ist deshalb die Tatsache, daß die Spurengase O3, CH4, N2O, FCKW11 und FCKW12 durchweg starke Absorptionsbanden im oder am Rande des atmosphärischen Fensters aufweisen. Die Beiträge der Spurengase zum natürlichen Treibhauseffekt teilen sich wie folgt auf: H2O 60%, CO2 24%, Ozon 8%, N2O 4%, CH4 2,5%, sonstige Gase 1,5%.
Der anthropogene Treibhauseffekt
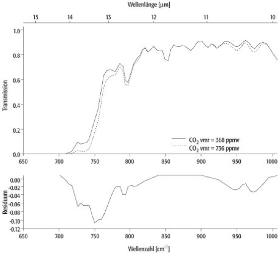
Die anthropogenen Änderungen der Konzentrationen verschiedener Spurenstoffe in der Atmosphäre modifizieren entsprechend der obigen Betrachtungen die Abstrahlungseigenschaften des Systems Erde/Atmosphäre (anthropogene Klimabeeinflussung). Die Verengung des atmosphärischen Fensters durch die Zunahme von Spurengasen kann durch Strahlungsübertragungsrechnungen einfach nachgewiesen werden. Abb. 2 zeigt ein Transmissionsspektrum für einen vertikalen atmosphärischen Weg im Bereich zwischen 10 μm und 15 μm. Bei Transmission 1 kann die an der Erdoberfläche emittierte Strahlung ungehindert in den Weltraum entweichen, hat sie jedoch den Wert 0, so wird die gesamte Strahlung dieser Wellenlänge innerhalb der Atmosphäre absorbiert. An der Abszisse ist sowohl die Wellenlänge in μm als auch die Wellenzahl (1/Wellenlänge) in cm-1 angegeben. Während im Bereich oberhalb 13 μm die starke Absorptionsbande des CO2 erkennbar ist, nimmt die Transmission im Bereich unterhalb 13 μm Werte zwischen 0,7 und 0,9 an (bedingt durch schwache Absorption verschiedener Spurengase sowie Kontinuumsabsorption). Eine Verdopplung des CO2-Gehalts in der Atmosphäre verändert das Spektrum (gestrichelte Kurve) nur in Bereichen von CO2-Absorptionsbanden, in denen die Transmission noch nicht zu kleine Werte angenommen hat. Eine Abnahme der Transmission ist demnach im Bereich der Flanke der CO2-Bande bei 13 μm und auch im Bereich zwischen 10,1 μm und 10,8 μm festzustellen (Nebenbande des CO2). Im unteren Teil der Abb. 2 ist die Differenz zwischen den beiden Spektren dargestellt. Ähnliche Effekte wie beim CO2 ergeben sich durch die Zunahme des troposphärischen Ozons (9,6 μm-Bande), des Methans (7,63 μm-Bande) und des Distickstoffoxids (7,78 μm-Bande). Da durch das Montreal-Protokoll und entsprechende Zusatzvereinbarungen die Produktion der FCKWs stark eingeschränkt wurde, nimmt die Gesamtchlorkonzentration in der Troposphäre bereits langsam wieder ab, und somit tragen die FCKWs künftig nur in abnehmendem Maße zum anthropogenen Treibhauseffekt bei.
Der anthropogene Treibhauseffekt kommt nicht nur durch eine Verengung des atmosphärischen Fensters zwischen 8 μm und 13 μm, sondern auch durch eine Anhebung des Emissionsniveaus der Atmosphäre innerhalb von Absorptionsbanden zustande. Im Bereich von Absorptionsbanden wird die vom Erdboden emittierte Strahlung durch die Atmosphärenschichten absorbiert und in Wärme umgewandelt. Die Atmosphärenschichten emittieren selbst Strahlung entsprechend ihrer Temperatur nach dem Planckschen Strahlungsgesetz. Diese Strahlung kann dann in den Weltraum entweichen, wenn zwischen der Atmosphärenschicht und dem Rand der Atmosphäre nur noch eine bestimmte Menge des absorbierenden Spurengases vorhanden ist (abhängig von der Stärke des Absorptionskoeffizienten). Mit dieser Überlegung ist das Emissionsniveau in der Atmosphäre in Abhängigkeit von der Wellenlänge festgelegt. Die qualitativen Änderungen der Strahlungsflüsse in der Atmosphäre durch Veränderungen der Spurengaskonzentrationen sind ein weiterer Aspekt des Treibhauseffekts. In Spektralbereichen mit starker Absorption sind die Emissionsniveaus in der Atmosphäre für die Abstrahlung in den Weltraum bzw. zum Erdboden (unteres Niveau) deutlich voneinander separiert. Bei Zunahme der Konzentration des absorbierenden Spurengases verschiebt sich das untere Emissionsniveau weiter nach unten in wärmere Atmosphärenschichten und erhöht damit die atmosphärische Gegenstrahlung. Eine Verdopplung des CO2 verringert den nach oben gerichteten Fluß der Wärmestrahlung um ca. 4 W/m2. Diese Änderung des Strahlungsflusses ist relativ klein im Vergleich zu seinem Absolutwert von 240 W/m2. Im Prinzip können die Strahlungseffekte des Aerosols simuliert werden. Sie hängen ab vom Verhältnis der Absorptionskoeffizienten im Sichtbaren und Infraroten sowie von der Albedo der Erdoberfläche und der Höhe der Aerosolschicht. Die Schwierigkeiten liegen u.a. darin, daß die Angaben zur Aerosol-Klimatologie auf globaler Basis noch ungenau sind und die integralen Effekte eines Ensembles von Aerosolen sich von der Summe der Effekte der individuellen Aerosole unterscheiden. Insgesamt gesehen ergeben Abschätzungen des Aerosol-Einflusses eine Dämpfung des Treibhauseffektes der Spurengase von 0,4-1,5 W/m2. Aerosole können die Strahlungsbilanz auch durch indirekte Effekte, nämlich durch eine Veränderung der Anzahl der Tröpfchen in Wolken, modifizieren. Fundierte Aussagen liegen dazu jedoch noch nicht vor.
Die oben dargelegten Effekte auf die Strahlungsbilanz, bedingt durch die erwarteten Konzentrationsänderungen von Spurengasen, sind für Rechnungen mit Klimamodellen zugrunde gelegt worden. Die abgeleiteten Resultate basieren auf einer Hierarchie von Modellen, die von global gemittelten Modellen über zweidimensionale breitenabhängige Modelle verschiedener Komplexität bis zu dreidimensionalen Zirkulationsmodellen reichen. Als Ergebnis wird eine mögliche globale Erwärmung an der Erdoberfläche von 1,5 bis 3º C im Jahr 2100 vorhergesagt.
Literatur:
[1] Houghton, J. et al. (eds)(1996): Climate Change 1995, Second Assessment Report of the Intergovernm. Panel on Climate Change, IPCC.- Cambridge.
[2] Lozan, J.L., Graßl, H., Hupfer, P. (Hrsg.)(1998): Warnsignal Klima, Wissensch. Auswertungen.– Hamburg.
Treibhauseffekt 1 : schematische Darstellung der Wirkung im Infraroten absorbierender Spurenstoffe auf den Strahlungshaushalt des Systems Erde/Atmosphäre. Treibhauseffekt 1

Treibhauseffekt 2 : berechnete Transmissionsspektren für vertikale Wege durch die Atmosphäre für unterschiedliche CO2-Mischungsverhältnisse (368 ppmv=durchgezogene Kurve, 736 ppmv=gestrichelte Kurve), eine Standard-Atmosphäre für mittlere Breiten und eine spektrale Auflösung von 4 cm-1. Treibhauseffekt 2

Wenn Sie inhaltliche Anmerkungen zu diesem Artikel haben, können Sie die Redaktion per E-Mail informieren. Wir lesen Ihre Zuschrift, bitten jedoch um Verständnis, dass wir nicht jede beantworten können.