Lexikon der Geowissenschaften: Verzerrungstheorie
Verzerrungstheorie, mathematische Theorie zur Berechnung von Verzerrungen, die bei der Abbildung der Erdoberfläche (Kugel, Ellipsoid) in die ebene Kartenfläche entstehen. Es handelt sich dabei um Längenverzerrungen (differentiell veränderlicher linearer Maßstab), Flächenverzerrungen (differentiell veränderlicher Flächenmaßstab) und Winkelverzerrungen. Diese Verzerrungen können durch die Geometrie bzw. durch die Wahl der Abbildungsgleichungen vermieden oder reduziert werden. So kann man längentreue, flächentreue und winkeltreueKartennetzentwürfe realisieren. Es ist aber trivial zu erkennen, daß offenbar ein Kartennetzentwurf nicht in allen drei Elementen gleichzeitig verzerrungsfrei gestaltet werden kann. Es sind zwar flächen- und winkeltreue Entwürfe der ganzen Erdoberfläche entwickelt worden, aber einen in allen Teilen längentreuen Entwurf gibt es nicht. Lediglich für einen differentiell kleinen Teil der Bezugsfläche um einen Punkt A kann in der Abbildungsfläche eine allgemeine Längentreue erreicht werden. Solche Abbildungen werden konform genannt. Um Gesetzmäßigkeiten für eine Verzerrungstheorie abzuleiten, muß man von unendlich kleinen Flächenelementen auf der Kugel bzw. bei höheren Ansprüchen an Genauigkeit und Aussagekraft auf dem Ellipsoid ausgehen.
a) differentielle Fläche: Es sei nach Abb. 1 ABCD ein differentielles Rechteck auf der Kugel als Bezugsfläche, welches durch zwei um dφ getrennte Parallelkreisbogenstücke (Meridiankreisbogenstücke) gebildet wird. Wegen der unendlichen Kleinheit von dφ und dλ werden die Seiten des Rechteckes als Geraden betrachtet. Für die Kugel gelten nach Abb. 1 die differentiellen Bogenstücke:
dSm=R·dφ
(im Meridian) und:
dSp=R·dλ·cosφ
(im Parallelkreis). Die Diagonale AC auf der Kugel ist damit:
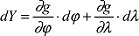
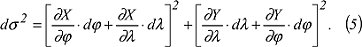
In der Abbildungsebene ( Abb. 2) erhält man mit A'B'C'D' das verzerrte Bild des Rechtecks ABCD. Der Punkt A' ist mit A identisch angenommen. Die differentiellen Koordinatenzuwächse zwischen den Punkten A'B'C' und D' in den ebenen Koordinaten dX und dY werden mit den partiellen Differentialen:
gebildet, wie aus der schematischen Abbildung 2 hervorgeht. Man erhält für die differentiellen Koordinatenunterschiede dX und dY zwischen A' und C' als totale Differentiale:
Die Diagonale A'C' wird:
dσ2=dX2+dY2. (4)
Mit (2) und (3) erhält man:
b) Gaußsche Fundamentalgrößen: Das Ausmultiplizieren von (5) führt zu einem sehr umfangreichen Ausdruck, der hier zunächst durch die Einführung der Fundamentalgrößen der Differentialgeometrie in der Gaußschen Flächentheorie vermieden werden soll. Man substituiert:

Setzt man R=1 für die Einheitskugel, so vereinfacht sich (8) noch weiter:
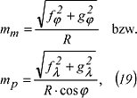
Gleichung (9) ist ein allgemeiner Ausdruck für die Längenverzerrung im Meridian eines gegebenen Punktes. Entsprechend findet man die Längenverzerrungen mp im Parallelkreis:

und mit R=1:
In der Literatur wird oft mm durch h und mp durch k ersetzt.
d) Längenverzerrungen in beliebigem Azimut: Durch Einführung allgemeiner Abbildungsgleichungen für einen beliebigen Kartennetzentwurf:
X=f(φ,λ),
Y=g(φ,λ) (12)
findet man einen Ausdruck für die Längenverzerrungen in einem Punkt in einer beliebigen Fortschreitrichtung α ( Abb. 1 und 2) in Analogie zu (8) und (10):
Die Ausdrücke dX und dY werden jetzt als totale Differentiale geschrieben, die allgemein für die Funktionen f(φ,λ) und g(φ,λ) eines bestimmten Entwurfs charakteristisch sind:
entspricht (2),
entspricht (3). Zur übersichtlicheren Handhabung bei der weiteren Rechnung wird eingeführt:

Damit wird (13) zu:

Aus:
dSm=R·dφ
und:
dSp=R·dλ·cosφ
(auf der Kugel) erhält man nach Abbildung 1:

Division von Gleichung (15) durch dφ2 ergibt mit (16):

Trennung des Ausdrucks (17) in drei Brüche und Einführung der Substitution:
führt zu:

Eine Diskussion der Gleichung (18) für die Fälle α=0º bzw. α=90º ergibt wegen sinα=0 bzw. cosα=0 Ausdrücke für die Längenverzerrung in Parallelkreisrichtung mp, nämlich:

was genau den Beziehungen (8) und (10) bzw. (9) und (11) entspricht. Zur Längenverzerrung im beliebigen Azimut α führt man ein:
und erhält:
Unter Verwendung der Gaußschen Fundamentalgrößen (6) und Beachtung von (5) und (1) erhält man die mit (18) bzw. (21) identische Gleichung:
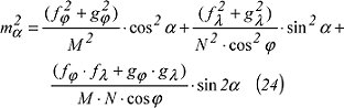
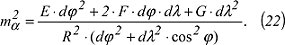
e) Ellipsoid als Bezugsfläche: Sollen die vorstehenden Beziehungen zur Berechnung der Längenverzerrung für das Ellipsoid abgeleitet werden, so muß man den Kugelradius R durch die variablen Größen M für den Meridiankrümmungsradius und N für den Normalkrümmungsradius ersetzen (Gradnetz der Erde). Alle bisher erhaltenen Ausdrücke sind dahingehend umzuschreiben, daß das Ellipsoid die Kugel mit dem konstanten Radius ersetzt. Die Gleichung (15) für die Längenverzerrung mα lautet danach:
![]()
und mit den in Gleichung (15) und folgende eingeführten Umformungen entsprechend (18):

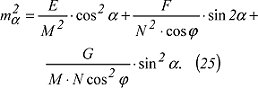
und mit den Fundamentalgrößen:

Wie bereits erwähnt ist mα der spezielle Maßstab in einem Kartenpunkt in der Richtung α. Da E, F und G sich ständig mit Länge und Breite ändern, ändert sich der Maßstab auf der Karte von Ort zu Ort. Doch damit noch nicht genug. Wegen der Abhängigkeit von α in Gleichung (25) ist der Längenmaßstab also auch von der Fortschreitrichtung von diesem Kartenpunkt aus abhängig. Es gilt also:
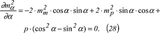
f) Hauptrichtungen der Längenverzerrung: Zur Bestimmung der Hauptrichtungen wird eine Extremwertaufgabe formuliert. In bekannter Weise wird, ausgehend von Gleichung (21) oder (22), eine Differentation nach α durchgeführt und der gefundene Ausdruck gleich Null gesetzt. Die Umstellung der entstandenen Beziehung nach einer Winkelfunktion von α liefert dann die Hauptrichtungen der Verzerrung, wie im folgenden vorgeführt wird. Die Richtungsabhängigkeit der Längenverzerrung, die alle nichtkonformen Kartennetzentwürfe aufweisen, hat notwendigerweise zur Folge, daß jeweils eine Richtung existiert, in der die Verzerrung ein Maximum erreicht und eine zweite, in der sie kleiner ist als in allen übrigen Richtungen. Diese beiden ausgezeichneten Richtungen heißen Hauptrichtungen der Längenverzerrung. Zweckmäßigerweise geht man von Gleichung (21) aus, differenziert sie und setzt gleich Null:
Ausführlich heißt das:

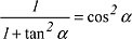
Durch Substitution der Sinus- und Kosinusausdrücke wird daraus:
zusammengefaßt:
und für die Extremwerte αε,
Wegen der Periodizität des Tangens gibt es zwei Winkel 2αε in Gleichung (30), die sich um zwei Quadranten unterscheiden. Die beiden Werte für αε bilden miteinander einen rechten Winkel. Diese beiden Azimute weisen in die Hauptrichtungen der Längenverzerrungen. Es sind dies die Halbachsen der Verzerrungsellipse, deren Gleichung sich aus der Abbildung eines Elementarkreises mit dem Radius dS in die Ebene ergibt.
g) Die Tissotsche Verzerrungsellipse: Die Gleichung des Kreises lautet:
Aus den bekannten ebenen Koordinatenelementen:
werden die Differentiale für Breite und Länge herausgelöst:

Durch Einsetzen von (32) in (31) erhält man die folgende Gleichung 2. Grades:

Die Ausdrücke in eckigen und runden Klammern können in der nächsten Nachbarschaft eines Punktes als konstant angesehen werden. Das heißt aber, daß (33) die Gleichung einer Ellipse für das zusammengehörige Wertepaar dX, dY darstellt. Dieses ist die Verzerrungsellipse oder Tissotsche Indikatrix. Man kann sich die Indikatrix durch ein paralleles Strahlenbündel entstanden denken, das die entsprechenden Punkte des oben genannten Elementarkreises mit den Bildern in der Verzerrungsellipse verbindet. Die Verzerrungsellipse ist also das affine Bild des differentiell kleinen Kreises auf der Kugeloberfläche ( Abb. 3). Die Wahl der Affinitätsachse und die Richtung des Parallelstrahlenbündels ist prinzipiell willkürlich, sie bestimmt aber die Eigenschaften der entstehenden Abbildung des Kartennetzes. Wenn das Parallestrahlenbündel senkrecht auf die Affinitätsachse fällt und die Abstände des Gegenstandspunktes auf der Kugelfläche und des Bildpunktes von der Affinitätsachse gleich groß sind, wird die Indikatrix in der Abbildung wieder ein Kreis. Eine solche Abbildung ist im differentiellen Bereich in allen Richtungen α längentreu und wird als konform bezeichnet. Im allgemeinen Fall des affinen Ellipsenbildes werden zwei aufeinander senkrechte Durchmesser des Kreises der Bezugsfläche in zwei zueinander konjugierte Durchmesser der Ellipse abgebildet, die einen von 90º verschiedenen Winkel miteinander einschließen. Es gibt nur ein Durchmesserpaar, das auch nach der Abbildung noch einen rechten Winkel bildet. Das sind die bereits definierten Hauptrichtungen der Längenverzerrung, die die Hauptachsen der Verzerrungsellipse sind.
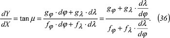
h) Azimut- und Winkelverzerrung: Vor der Ableitung von Ausdrücken für die Winkelverzerrung bei der Abbildung von der Kugel in die Ebene soll eine Betrachtung zur Azimutverzerrung vorgenommen werden. Formal ist dann die Winkelverzerrung nur die Differenz zweier Azimutverzerrungen. Auf der Kugel sei eine differentielle Strecke dS mit dem Azimut a im Punkt P gegeben ( Abb. 4). Durch die Abbildung in die Ebene wird aus a das Azimut α in P'. Dieses Azimut α in der Abbildung ist der Winkel zwischen den Tangenten an das Bild des Meridians und an die Kurve σ in P', d.h. des Differentials dS. Dabei werden im allgemeinen die Richtungen verzerrt gegenüber den Originalen. Sind μm und μ die Winkel der Tangenten mit der Ordinatenachse ( Abb. 4), so gilt:
180º-α=μm-μ. (34)
Nach dem Tangensadditionstheorem gilt:
Außerdem ist nach (13) mit Einsetzung von (14):

Nach (16) gilt:
Damit wird tanμ gefunden zu:

Die Verzerrung des Winkels einer Richtung gegen den Meridian, also die Azimutverzerrung μm, findet man aus (37) durch Annahme von λ=const. für den Meridian mit sinα=0:
Setzt man in Abbildung 4 für die Kurve S das Bild des Parallelkreises, so wird aus der allgemeinen Azimutverzerrung μ die Verzerrung des Winkels μp der Tangente an das Parallelkreisbild und der Ordinatenachse mit α=90º nach Gleichung (36):
Für die Beurteilung eines Kartennetzentwurfs ist es von Belang, wie der rechte Winkel zwischen Meridianen und Parallelkreisen auf der Kugel in der Kartenebene abgebildet wird. Dieser Winkel ![]()
entspricht der Größe 180º-α in Gleichung (34) und in Abbildung 4. Der Tangens des Winkels ![]()
wird mit Hilfe des Tangensadditionstheorems aus (38) und (39) berechnet. Man erhält:

Indem im Zähler und im Nenner der gemeinsame Hauptnenner fφfλ eingeführt wird, erhält man den vereinfachten Ausdruck:
Aus dem Winkel ![]()
ergibt sich die Verzerrung θ der Rechtschnittigkeit zwischen Meridianen und Parallelen in der Abbildung:
θ=90º-![]()
. (42)
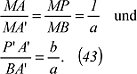
i) maximale Winkelverzerrung: Die Verzerrung der Winkel zwischen zwei Richtungen in der Abbildung ist durch Gleichung (42) noch nicht erschöpfend diskutiert. Es gibt zahlreiche Kartennetzentwürfe, in denen die Rechtschnittigkeit der Meridiane und Parallele in der Abbildung zwar erhalten bleibt, die aber deshalb nicht notwendig winkeltreu sind. Wie für die Längenverzerrung gilt auch für die Winkelverzerrung, daß ihr Wert nicht nur von den geographischen Koordinaten auf der Erdkugel abhängt, sondern auch von den Richtungen der Kurven in der Ebene, die einen Winkel miteinander bilden, dessen Verzerrung gesucht ist. Wie bei der Längenverzerrung läßt sich auch eine maximale Winkelverzerrung definieren und berechnen. Dazu geht man von Abbildung 5 aus. Im Ursprung M eines rechtwinkligen X-Y-Koordinatensystems wird ein differentiell kleiner Kreis der Kugeloberfläche mit dem Radius 1 gezeichnet. Konzentrisch dazu ist die Verzerrungsellipse mit den Halbachsen a und b angeordnet. Kreis und Ellipse sind affin zueinander. Der Kreis um M mit Radius a ist der Leitkreis. P ist ein beliebiger Punkt auf dem differentiellen Urkreis, P' der zugehörige affine Punkt auf der Verzerrungsellipse. Um die Winkelverzerrung zu berechnen und dann ihr Maximum zu bestimmen, muß man zunächst eine Ausgangsrichtung wählen, deren Lage beliebig ist, da sie bei der Differenzbildung keine Rolle mehr spielt. Zweckmäßig ist eine der Hauptrichtungen der Längenverzerrung hierfür geeignet (in Abb. 5 die Y-Achse), da hier die Richtungen in der Bezugsfläche (Kugel) und in der Abbildungsebene zusammenfallen. Der Winkel ω zwischen der Y-Achse bzw. der großen Halbachse der Verzerrungsellipse und MP gibt die unverzerrte Richtung an. Über den Punkt B (X, Y) wird wegen der Affinität die verzerrte Richtung MP' (X', Y) gefunden. Sie schließt mit der gewählten Ausgangsrichtung den Winkel Ω ein. Alle weiteren Bezeichnungen sind aus Abbildung 5 erkennbar. Es gelten folgende Beziehungen, die sich aus der Affinität ergeben:

Die Beziehungen zur Berechnung der beiden Omegawinkel sind:

Der Sinussatz im Dreieck MBP' lautet unter Verwendung von (44):

In Abbildung 5 ist bezüglich der Y-Achse symmetrisch zum Dreieck MBA' das Dreieck MB'A', ebenfalls mit dem Winkel ω am Punkt M und 90º-ω am Punkt B' zu erkennen. Wird jetzt im Dreieck MB'P' der ebene Sinussatz aufgestellt, so erhält man:

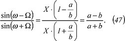
Multiplikation von Gleichung (45) und (46) ergibt:

Die linke Seite der Gleichung bedarf der Diskussion. Die Differenz ω-Ω im Zähler ist die gesuchte Winkelverzerrung. Es gilt:
Δω=ω-Ω. (48)
Im Nenner kann sin(ω+Ω) maximal den Wert 1 annehmen. Also ergibt sich die Winkelverzerrung zu:
Ein gleich großer Betrag für Δω ergibt sich aber auch für das Dreieck MP'B', so daß man endgültig für die maximale Winkelverzerrung:
Δωmax=2·Δω (50)
erhält. Durch Anwendung geeigneter goniometrischer Gleichungen kann man noch andere Funktionen zur Berechnung von Δω angeben (Winkelverzerrung). Gleichung (49) setzt natürlich die Kenntnis der Halbachsen a und b der Verzerrungsellipse voraus, was aber kaum praktisch realisiert wird. Daher wendet man praktikablere Beziehungen an.
k) Flächenverzerrung: Sie spielt bei zahlreichen Forderungen der praktischen Kartennutzer eine ganz wesentliche Rolle. Häufig werden Verzerrungen der anderen Elemente eines Kartennetzentwurfs in Kauf genommen, um die Abbildung flächentreu zu gestalten. Zur Ableitung einer Beziehung für die Flächenverzerrung vf ist das Verhältnis der Fläche eines differentiell kleinen Kreises zu der Fläche der zugehörigen Verzerrungsellipse ( Abb. 5) heranzuziehen. Wenn für den Radius des differentiellen Kreises anstelle von 1 die Größe dσ gesetzt wird, ist seine Fläche gleich π·dσ2 und die Fläche der Verzerrungsellipse gleich π·a·dσ·b·dσ. Die Flächenverzerrung ergibt sich also zu:
oder:
vf=ab. (52)
Auch hier gilt, was zu Gleichung (49) gesagt worden ist: Die praktische Anwendung der Gleichungen (49) und (52) ist nur bei Kenntnis der Halbachsen der Tissotschen Verzerrungsellipse möglich. Für den praktischen Gebrauch werden zur Winkelverzerrung und zur Flächenverzerrung Beziehungen angegeben, die geeigneter sind und auf den Ausdrücken für die Längenverzerrung beruhen. [KGS]
Verzerrungstheorie 1: differentiell kleines Viereck ABCD auf der Kugel. Verzerrungstheorie 1:

Verzerrungstheorie 2: differentiell kleines Viereck A'B'C'D' in der Abbildung im ebenen X-Y-System. Verzerrungstheorie 2:

Verzerrungstheorie 3: Verzerrungsellipse als affines Bild eines differentiell kleinen Kreises. Verzerrungstheorie 3:

Verzerrungstheorie 4: Azimutverzerrung. Verzerrungstheorie 4:

Verzerrungstheorie 5: maximale Winkelverzerrung. Verzerrungstheorie 5:


Wenn Sie inhaltliche Anmerkungen zu diesem Artikel haben, können Sie die Redaktion per E-Mail informieren. Wir lesen Ihre Zuschrift, bitten jedoch um Verständnis, dass wir nicht jede beantworten können.