Lexikon der Geowissenschaften: Wiederanstiegsmethode nach Theis und Jacob
Wiederanstiegsmethode nach Theis und Jacob, Wiederanstiegsversuch, nach Abschalten der Förderpumpe bei einer Grundwasserentnahme beginnt der Wiederanstieg des Grundwassers. Dieser kann ebenfalls zur Bestimmung der Transmissivität T des Grundwasserleiters herangezogen werden. Seine Auswertung ist ohne großen Mehraufwand im Rahmen einer Pumpversuchsdurchführung (Pumpversuch) möglich. Es müssen lediglich die Grundwasserstände für eine gewisse Zeit nach Pumpende noch weiter gemessen werden.
Nach Pumpende bricht das Gleichgewicht zwischen Entnahmerate und Zustrom schlagartig zusammen. Dabei verflacht das Strömungsgefälle dort am schnellsten, wo der Gradient bis zu diesem Zeitpunkt am höchsten war, also im Zentrum des Absenktrichters. Dies äußert sich in einem plötzlichen Wasserschwall im Brunnen. Das zur Auffüllung des Absenktrichters im Innern benötigte Grundwasser wird von weiter außen herangeführt, wo der Grundwasserspiegel daher nach Abschalten der Pumpe zunächst noch weiter sinkt. Erst wenn sich die hohen Gradienten im Zentrum des Absenktrichters verringert haben, verlagert sich die Auffüllung zunehmend nach außen, wo nach einem scheinbaren Stillstand des Wasserspiegels dann ebenfalls mit zeitlicher Verzögerung der Wiederanstieg einsetzt. Bei idealen Bedingungen stellt sich nach Ende des Wiederanstiegs der Ausgangswasserspiegel wieder genau ein ( Abb.).
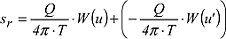
Mathematisch läßt sich der Wiederanstieg mit der Überlagerung zweier Effekte nach dem Superpositionsprinzip beschreiben. Dieses besagt, daß die Absenkungs- bzw. Anstiegsbeträge zweier oder mehrere Brunnen sich an jeder Stelle gerade addieren. Die Wiederanstiegsphase läßt sich beschreiben mit der Addition der Absenkung nach der Brunnenformel von Theis:
mit
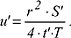
mit der Entnahmerate Q, beginnend zum Zeitpunkt t=0, und einer scheinbaren Injektion im selben Brunnen mit der Injektionsrate Q, beginnend zum Zeitpunkt des Pumpendes t′=0, deren Anstiegsbetrag s′ beträgt:
mit:
Durch die Addition der beiden Gleichungen ergibt sich für die residuelle oder verbleibende Absenkung sr:
mit t=seit Pumpbeginn vergangene Zeit [s]; t'=seit Pumpende vergangene Zeit [s]; S=Speicherkoeffizient während der Absenkungsphase; S′=Speicherkoeffizient während des Wiederanstiegsphase). Diese Gleichung läßt sich nun nach Ausklammern der Konstanten durch eine Reihenentwicklung lösen. Die beiden konvergenten Reihen können mit hinreichender Genauigkeit nach den jeweils ersten beiden Gliedern abgebrochen werden.
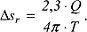
Geht man von der Annahme aus, daß S=S′ ist und formt in den dekadischen Logarithmus um, ergibt sich:
Zur Bestimmung von T kommt analog zum Verfahren nach Cooper und Jacob ein Geradlinien-Verfahren zum Einsatz. Auf halblogarithmischem Papier trägt man die residuelle Absenkung sr, die man in einer Meßstelle oder im Brunnen selbst mißt, gegen den Quotienten lg(t/t′) auf. Für große Werte von t und t′ ergibt sich eine logarithmische Gerade. Für eine logarithmische Dekade ist lg(t/t′) = 1 und
Durch Umstellen läßt sich die Transmissivität T berechnen:
Der Speicherkoeffizient S kann mit der Wiederanstiegsmethode nicht bestimmt werden.
Die Auswertung des Wiederanstiegs hat, neben ihrer einfachen Durchführung, zwei Vorteile gegenüber der Auswertung der Absenkung. Selbst stärkere Schwankungen in der Förderrate der Pumpe stören nicht, da für Q eine mittlere Förderrate eingesetzt werden kann, ohne daß ein großer Fehler entsteht, und der Wiederanstieg kann auch im Brunnen selbst beobachtet werden, da weder Sickerstrecke noch Brunneneintrittsverluste die Werte der residuellen Absenkung beeinflussen.
Mithilfe der Auswertung des Wiederanstiegs lassen sich außerdem einige qualitative Aussagen über den Grundwasserleiter treffen: Handelt es sich um einen homogenen, seitlich unbegrenzten Grundwasserleiter ohne Zuflüsse, so verläuft die logarithmische Gerade durch die Koordinaten sr=0 und t/t′=1. Schneidet die Gerade sr=0 bei t/t′ > 2, so bedeutet dies, daß während des Pumpversuchs positive Randbedingungen herrschten, d.h. Wasser in den Grundwasserleiter zufloß, so daß der Ausgangswasserspiegel schneller wieder erreicht wurde. Schneidet die Gerade sr=0 bei 1 t/t′ 2, hat sich der Speicherkoeffizient S bei der Absenkung irreversibel verringert, z.B. durch Kompression des Korngerüsts. Schneidet die Gerade die sr-Achse im positiven Bereich, ist der Grundwasserleiter räumlich begrenzt, und die entnommene Wassermenge kann nicht wieder vollständig ausgeglichen werden, d.h. der Wasserspiegel, der sich nach Ende des Wiederanstiegs einstellt, ist niedriger als der Ausgangswasserspiegel vor dem Pumpversuch. [WB]
Literatur: [1] Dawson, K.J., Istok, J.D. (1991): Aquifer Testing. Design and Analysis of Pumping and Slug Tests. – Chelsea. [2] Krusemann, G.P., De Ridder, N.A. (1990): Analysis and evaluation of pumping test data. – Int. Inst. F. Land Reclamation and Improvement Wageningen, Publication 47. Wageningen. [3] Langguth, H.R., Voigt, R. (1980): Hydrogeologische Methoden. – Berlin, Heidelberg, New York.

Wenn Sie inhaltliche Anmerkungen zu diesem Artikel haben, können Sie die Redaktion per E-Mail informieren. Wir lesen Ihre Zuschrift, bitten jedoch um Verständnis, dass wir nicht jede beantworten können.