Lexikon der Geowissenschaften: Winkelverzerrung
Winkelverzerrung, der Unterschied der Größe eines Winkel im Punkt P1 in der Bezugsfläche, der durch Großkreisbögen P1P2 und P1P3 entsteht, und der Größe des entsprechenden Winkels P2'P1'P3' in der Abbildungsebene. Wie aus der Verzerrungstheorie hervorgeht, muß im allgemeinen Fall, d.h. wenn dem Entwurf keine konforme Abbildung zugrunde liegt, in P1' die Winkelverzerrung vom Azimut abhängen, da die Längenverzerrung mα ebenfalls azimutabhängig ist. Es ist üblich, die Verzerrung des rechten Winkels zwischen Meridianen und Parallelkreisen in der Abbildungsebene mit ![]()
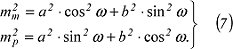
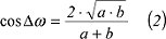
( Abb.) und die maximale Winkelverzerrung nach der Verzerrungstheorie mit 2Δω zu bezeichnen. Bei Kenntnis der Halbachsen a und b der Verzerrungsellipse ist nach der Verzerrungstheorie:
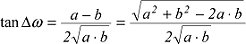
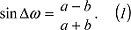
Dieser Ausdruck für die Winkelverzerrung kann mit den bekannten goniometrischen Zusammenhängen auch durch die anderen Winkelfunktionen ausgedrückt werden, nämlich:
und:
Wie schon erwähnt, sind die Achsen der Verzerrungsellipse a und b im allgemeinen nicht bekannt. Sie werden explizit nur benötigt, wenn man die Verzerrungen eines Kartennetzentwurfs durch Einzeichnen der Verzerrungsellipsen an vielen Punkten der Karte global charakterisieren will. Als zweckmäßiger zur Berechnung der Winkelverzerrungen eines Entwurfs erweist sich die Verwendung der partiellen Differentiale fφ, fλ, gφ und gλ (Verzerrungstheorie Gleichung 14) und der Ausdrücke für die Längenverzerrung im Meridian mm und im Parallelkreis mp (Verzerrungstheorie Gleichung 19) sowie des Winkels ![]()
(Verzerrungstheorie Gleichung 41). Dazu sind die zwischen beiden Systemen bestehenden Zusammenhänge nachzuweisen.
In der Abbildung a) ist ein differentieller Kreis auf der Kugeloberfläche mit dem Radius dS und dem Winkel ω zwischen der Meridianrichtung MP und der ξ-Achse in einem beliebig um M orientierten rechtwinkligen Koordinatensystem ξ,η. Der Parallelkreisbogen schließt mit der η-Achse den gleichen Winkel ω ein. Im Teil b der Abbildung ist X,Y das durch Affinität bestimmte Abbild des ξ-η-Systems. Das heißt, von M' aus liegt in der X-Richtung die große Achse der Verzerrungsellipse a und in der Y-Richtung die kleine b.
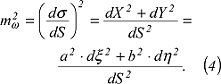
Nach der Verzerrungstheorie (Gleichung 13) gilt die Längenverzerrung mα=mω in Richtung ω bezogen auf die willkürlichen Ausgangsrichtungen ξ und η:

Der letzte Ausdruck gilt entsprechend der Gleichung 43 der Verzerrungstheorie wegen der in der Abbildung geltenden Affinität zwischen Kreis und Verzerrungsellipse. Aus der Abbildung liest man direkt ab für den Meridian:

und für den Parallelkreis:

Durch Einsetzen von (5) und (6) in (4) findet man zwei Gleichungen:
Die Summe der beiden Gleichungen (7) ergibt die gesuchte Beziehung zwischen den Halbachsen der Verzerrungsellipse a und b in der Ebene und den partiellen Differentialen fφ, fλ, gφ und gλ des sphärischen Differentialdreiecks:
Gleichung (8) ist eine Gleichung mit zwei Unbekannten. Durch Hinzunahme einer weiteren Gleichung aus der Flächenverzerrung:
vf=mm·mp·sin![]()
=a·b (9)
wird die Umformung lösbar. Von Gleichung (3) ausgehend wird die Verbindung zwischen (8) und (9) wie folgt geknüpft:
und schließlich:

Mit Hilfe der Substitution:
erhält man einen weiteren Ausdruck, nämlich:

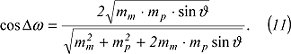
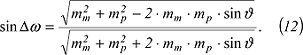
Schließlich kann cosΔω in bekannter Weise in sinΔω umgewandelt werden:

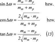
Die Gleichungen (10), (11) und (12) lassen sich durch Einführung der Flächenverzerrung vf nach Gleichung (9) vereinfachen. Eine wesentliche Vereinfachung ergibt sich für Entwürfe, bei denen die Bilder der Meridiane und der Parallele sich rechtwinklig schneiden, bei denen also ![]()
=90º gilt. Dann erhält man:

[KGS]
Literatur: [1] FIALA, F. (1957): Mathematische Kartographie. – Berlin. [2] WAGNER, K.H. (1949): Kartographische Netzentwürfe. – Leipzig.
Winkelverzerrung: a) differentieller Kreis auf der Kugeloberfläche mit dem Radius dS und dem Winkel ω zwischen der Meridianrichtung MP und der ξ-Achse in einem beliebig um M orientierten rechtwinkligen Koordinatensystem ξ,η; b) X,Y ist das durch Affinität bestimmte Abbild des ξ-η-Systems. Winkelverzerrung:

Wenn Sie inhaltliche Anmerkungen zu diesem Artikel haben, können Sie die Redaktion per E-Mail informieren. Wir lesen Ihre Zuschrift, bitten jedoch um Verständnis, dass wir nicht jede beantworten können.