Lexikon der Geowissenschaften: Zylinderentwürfe
Zylinderentwürfe, Abbildung der Erdoberfläche oder eines Teils davon in die Ebene. Als Zwischenabbildungsfläche dient ein Zylindermantel, dessen Achse mit der Erdachse zusammenfällt ( Abb. 1, α=0º) oder mit ihr einen rechten (α=90º) oder einen beliebigen Winkel (0º α 90º) bildet. Entsprechend entsteht ein Zylinderentwurf in polarer, transversaler oder allgemeiner Lage. Der Zylindermantel kann verzerrungsfrei in die Ebene abgewickelt werden. Für die Abbildung der Kugel auf den Zylindermantel ( Abb. 2) werden dem vorgesehenen Verwendungszweck entsprechende mathematische Gesetzmäßigkeiten genutzt. Hierbei entstehen Verzerrungen, deren Werte nach der Verzerrungstheorie aus den Abbildungsgleichungen berechnet werden. Die Verzerrungen sind am geringsten in der Nähe des Berührungskreises zwischen dem Zylinder und der Kugel als Bezugsfläche. Daher ist der Zylinderentwurf in polarer Lage besonders geeignet zur Darstellung von Gebieten, die sich parallel und symmetrisch zum Äquator in einem nicht allzu breiten Gürtel erstrecken. Um die Breite dieses Gürtels mit kleinen Verzerrungen zu vergrößern, kann ein Zylinder verwendet werden, dessen Radius etwas kleiner ist als der Kugelradius. Dadurch entsteht ein Schnittzylinderentwurf mit zwei längentreuen Parallelkreisen. Bezüglich der Abstände der Meridianbilder voneinander gilt die Abbildungsgleichung in der Y-Koordinate für alle Entwürfe mit Berührungszylinder unabhängig von der geographischen Breite:
Y=R·arcλ (1)
wie sich aus der Abwickelung des Zylinders ergibt. Für einen Schnittzylinder muß jeder Y-Wert noch wegen der Breite reduziert werden. Die Abbildungsgleichung für die Abstände der Parallelkreise voneinander bestimmt die Eigenschaften des Zylinderentwurfs. Es gilt:
X=R·f(φ). (2)
Nach Wahl der Funktion f(φ)werden vier Zylinderentwürfe etwas näher vorgestellt:
a) Quadratische Plattkarte. Die Abbilder der Meridiane werden als auf den Zylindermantel längentreu abgewickelte Geraden dargestellt, die der Parallelkreise als Geraden senkrecht hierzu. Letztere haben unabhängig von der geographischen Breite in der Karte alle die gleiche Länge wie das Äquatorbild. Danach lauten die Abbildunsgleichungen der quadratischen Plattkarte:
X=R·arcφ,
Y=R·arcλ (3).
Die Verzerrungen sind mit den Symbolen der Verzerrungstheorie:

X und Y sind die Koordinaten in der Kartenebene, R der Kugelradius, φ und λ die geographischen Koordinaten. Diesen Entwurf kannte bereits Marinus von Tyrus um 100 n.Chr. Er wurde bis ins 16. Jahrhundert für Seekarten benutzt, da er geeignet ist, die ganze Erde in einem Rechteck abzubilden, allerdings mit großen Verzerrungen in den Polgebieten ( Tab.).
b) Lamberts flächentreuen Zylinderentwurf (azimutaler Kartennetzentwurf): Bei diesem Entwurf muß die Streckung der Parallelkreise auf die Äquatorlänge durch eine entsprechende Kürzung der Meridianbilder ausgeglichen werden, damit die Flächentreue erreicht wird ( Abb. 3). Die Abbildungsgleichungen für den Entwurf in polarer Lage lauten:
X=R·sinφ,
Y=R·arcφ (4).
Für die Verzerrungen ergeben sich aus der Forderung der Flächentreue:

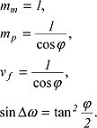
Die starke Stauchung der Meridiane mit zunehmender geographischer Breite kommt sowohl in Abbildung 3 deutlich zum Ausdruck, wie auch in den Verzerrungsellipsen zwischen Äquator und 60º nördl./südl. Breite ( Abb. 4). Der Lambertsche flächentreue Zylinderentwurf wird zu den perspektiven Entwürfen gerechnet.
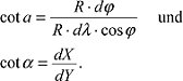
c) Der Mercatorentwurf, von Gerhard Kremer, genannt Mercator, 1569 erstmals für eine Erdkarte verwendet, ist ein winkeltreuer Zylinderentwurf. Winkeltreue setzt Konformität voraus. Die Verzerrungsellipse ist in jedem Kartenpunkt ein Kreis, dessen Radius in Abhängigkeit von der geographischen Breite variiert ( Abb. 5). Nach der Abbildung zu Längenverzerrung nehme man in einem Punkt P der Kugel eine Richtung a an und im zugehörigen Kartenpunkt P' die entsprechende Richtung α, so ergeben sich die Kotangens beider Winkel zu:

Wegen der Winkeltreue ist a=α, also:
Allgemein gelten die Abbildungsgleichungen (1) und (2), deren Differentiation auf:
dX=R·f'(x)
und:
dY=R·dλ
führt. Setzt man diese Differentiale in (5) ein, erhält man die Beziehung für das Differential der Funktion f:
Das Integral von (6) ist die als isometrische Breite abgeleitete Größe:
und damit die gesuchte Funktion f(φ). Die Abbildungsgleichungen des Mercatorentwurfs sind damit:

Die Ausdrücke für die Verzerrungen sind nach der Verzerrungstheorie:

Abbildung 6 zeigt zwei wesentliche Merkmale des Mercatorentwurfs. Das erste ist die enorme Streckung der Meridiane nach den Polen hin. Das zweite ist die in der Karte als Gerade zwischen zwei Punkten verlaufende Loxodrome. Wegen der zweiten Besonderheit spielt die Mercatorkarte heute noch in der Seefahrt eine wichtige Rolle. Der mit der unendlich groß werdenden Flächenverzerrung in Polnähe verbundene Nachteil wirkt sich für die Seefahrt kaum aus. Der Vorteil der Geradlinigkeit der Loxodrome in der Karte liegt für den Seemann auf der Hand: Er kann zwischen zwei Punkten mit einem konstanten Kurswinkel fahren, während dieser sich auf der Orthodrome ständig ändert.
d) Millers Zylinderentwurf (angegeben von O.M. Miller 1942) vermeidet die in den Abbildungen 3 und 6 offensichtlichen Nachteile der unerträglichen Verzerrungen in den polnahen Gebieten. Unter Verzicht auf Flächentreue (Lambert) und auf Konformität (Mercator) entwickelte Miller einen vermittelnden Zylinderentwurf, dessen Karte der Gesamterde in Abbildung 7 und die zugehörigen Verzerrungsellipsen in Abbildung 8 wiedergegeben sind.
e) transversaler Mercatorentwurf: Trotz aller Versuche, die Gesamtdarstellung der Erde durch einen Zylinderentwurf zu verbessern, bleibt doch die Vorstellung der Erde als Rechteck unbefriedigend. Der Versuch, die Gesamterde in mehreren Meridianstreifen auf jeweils einen mit seiner Achse im Äquator liegenden Zylinder abzubilden ( Abb. 9), führt zur Vermeidung des rechteckigen Erdbildes. Die Vezerrungen sind in den mittleren Partien moderat ( Abb. 10). Die in Abbildung 9 gewählte Mittelstellung Nord- und Südamerikas weist den Entwurf für dieses Gebiet als geeignet aus. Für eine Gesamterddarstellung wirkt er jedoch verwirrend. Der Entwurf ist die Basis des Universal Transverse Mercator Entwurfs, in Abbildung 1 1 als Prinzip dargestellt (UTM-System).
f) Der Gauß-Krüger-Entwurf ist eine Weiterentwicklung des transversalen Mercatorentwurfs durch Gauß (1822) und Krüger (1912). Der Entwurf wurde schon 1923 als konforme Meridianstreifenabbildung mit längentreuen Mittelmeridianen von 3º Breite für ein einheitliches Kartensystem vorgeschlagen. Wegen der geringen Breite der zweieckförmigen Meridianstreifen werden alle topographischen Karten von 1:25.000 bis 1:250.000 auf dieser Grundlage konstruiert (Gauß-Krüger-Koordinaten, geodätische Abbildungen).
Im 20. Jahrhundert sind zahlreiche unecht zylindrische Entwürfe veröffentlicht worden, die in mancher Beziehung, insbesondere hinsichtlich der Formtreue (punktförmige Pole, elliptische Umrißlinie u.a.) gegenüber den echten Zylinderentwürfen Vorteile aufweisen. [KGS]
Literatur: [1] Kuntz, E. (1990): Kartennetzentwurfslehre. – Karlsruhe. [2] Maling, D.H. (1992): Coordinate Systems and Map Projections. [3] Snyder, J.P. (1989): An Album of Map Projections. In: U.S. Geological Survey, Professional Paper 1453. – Denver.
Zylinderentwürfe 1: Prinzip der Zylinderentwürfe. Zylinderentwürfe 1:

Zylinderentwürfe 2: Abwicklung des Zylindermantels. Zylinderentwürfe 2:

Zylinderentwürfe 3: Lamberts flächentreuer Zylinderentwurf. Zylinderentwürfe 3:

Zylinderentwürfe 4: Verzerrungsellipsen zu Lamberts flächentreuem Zylinderentwurf.

Zylinderentwürfe 5: Verzerrungsellipsen zum Mercatorentwurf im Bereich von 60º nördlich bis 60º südlich des Äquators.

Zylinderentwürfe 6: Mercatorentwurf. Zylinderentwürfe 6:

Zylinderentwürfe 7: Millers vermittelnder Zylinderentwurf. Zylinderentwürfe 7:

Zylinderentwürfe 8: Verzerrungsellipsen zu Millers Zylinderentwurf.

Zylinderentwürfe 9: transversaler Mercatorentwurf. Zylinderentwürfe 9:

Zylinderentwürfe 10: Verzerrungsellipsen zum transversalen Mercatorentwurf. Zylinderentwürfe 10:

Zylinderentwürfe 11: Darstellung der Meridianstreifenabbildung. Zylinderentwürfe 11:

Zylinderentwürfe (Tab.): Verzerrungen bei Zylinderentwürfen. Zylinderentwürfe (Tab.):

Wenn Sie inhaltliche Anmerkungen zu diesem Artikel haben, können Sie die Redaktion per E-Mail informieren. Wir lesen Ihre Zuschrift, bitten jedoch um Verständnis, dass wir nicht jede beantworten können.