Direkt zum Inhalt

Lexikon der Kartographie und Geomatik: astronomisches Nivellement

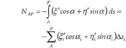
astronomisches Nivellement, astrogeodätisches Nivellement, E astronomical levelling, Methode zur Bestimmung des Unterschiedes der Geoidhöhen zweier Punkte A und P mit Hilfe der astrogeodätischen Lotabweichung längs des Messweges. Es stellt eine Diskretisierung des folgenden Wegintegrals dar:





In dieser Formel bedeuten Δsi die Horizontalentfernung und αi das ellipsoidische Azimut zwischen den beiden Oberflächenpunkten i-1 und i.
ROAP ist die orthometrische Reduktion längs des Weges zwischen den Punkten A und P. Die Komponenten der astrogeodätischen Lotabweichungen ξi, ηi in den Diskretisierungspunkten ergeben sich als Differenzen der Zenitrichtungen





des topozentrischen astronomischen Koordinatensystems und des lokalen ellipsoidischen Koordinatensystems mit den Ursprüngen in den hinreichend nahe beieinander liegenden Punkten des Profils von A nach P. Die orthometrische Reduktion erfasst die Krümmung der Lotlinien zwischen Geoid- und Oberflächenpunkten. Die vereinfachte Formel:





gilt, wenn die Oberflächenlotabweichungen wegen Lotkrümmung auf das Geoid reduziert werden.

KIK

  • Die Autoren

Mitarbeiterinnen und Mitarbeiter des Lexikons der Kartographie und Geomatik

Herausgeber und Redaktion (jew. mit Kürzel)

JBN

Prof. Dr. Jürgen Bollmann, Universität Trier, FB VI/Kartographie

WKH

Prof. Dr. Wolf Günther Koch, Technische Universität Dresden, Institut für Kartographie

ALI

Dipl.-Geogr. Annette Lipinski, Köln

Autorinnen und Autoren (jew. mit Kürzel)

CBE

Prof. Dr. Christoph Becker, Universität Trier, FB Geographie/Geowissenschaften – Fremdenverkehrsgeographie

WBE

Dipl.-Met. Wolfgang Benesch, Offenbach

ABH

Dr. Achim Bobrich, Universität Hannover, Institut für Kartographie und Geoinformatik

GBR

Dr.-Ing. Gerd Boedecker, Bayrische Akademie der Wissenschaften, Kommission für Erdmessung, München

JBN

Prof. Dr. Jürgen Bollmann, Universität Trier, FB Geographie/Geowissenschaften – Abt. Kartographie

WBO

Dr. Wolfgang Bosch, Deutsches Geodätisches Forschungsinstitut, München

CBR

Dr. Christoph Brandenberger, ETH Zürich, Institut für Kartographie, (CH)

TBR

Dipl.-Geogr. Till Bräuninger, Universität Trier, FB Geographie/Geowissenschaften – Abt. Kartographie

KBR

Prof. Dr. Kurt Brunner, Universität der Bundeswehr, Institut für Photogrammetrie und Kartographie, Neubiberg

MBR

Prof. Dr. Manfred F. Buchroithner, TU Dresden, Institut für Kartographie

EBN

Dr.-Ing. Dr. sc. techn. Ernst Buschmann, Potsdam

WBH

Prof. Dr. Wolfgang Busch, TU Clausthal-Zellerfeld

GBK

Dr. Gerd Buziek, München

ECS

Prof. Dr. Elmar Csaplovics, TU Dresden, Institut für Photogrammetrie und Fernerkundung

WDK

Prof. Dr. Wolfgang Denk, FH Karlsruhe, Hochschule für Technik, FB Geoinformationswesen

FDN

Doz. Dr. Frank Dickmann, TU Dresden, Institut für Kartographie

RDH

Prof. Dr. Reinhard Dietrich, TU Dresden, Institut für Planetare Geodäsie

DDH

Dr. Doris Dransch, Berlin

HDS

Prof. Dr. Hermann Drewes, Deutsches Geodätisches Forschungsinstitut, München

DER

Dr. Dieter Egger, TU München, Institut für Astronomische und Physikalisch Geodäsie

RET

Dr. jur. Dipl.-Ing. Rita Eggert, Karlsruhe

HFY

Dipl.-Geogr. Holger Faby, Europäisches Tourismus Institut GmbH an der Universität Trier

GGR

Univ. Ass. Dr. MA Georg Gartner, TU Wien, Institut für Kartographie und Reproduktionstechnik, (A)

CGR

Prof. Dr. Cornelia Gläßer, Martin-Luther-Universität, Halle/S.-Wittenberg, Institut für Geographie

KGR

Dr. Konrad Großer, Institut für Länderkunde, Leipzig

RHA

Dr. Ralph Hansen, Universität Trier, FB Geographie/Geowissenschaften – Physische Geographie

HHT

Dipl.-Met. Horst Hecht, Bundesamt für Seeschifffahrt und Hydrographie, Hamburg

BHK

Prof. Dr.-Ing. Bernhard Heck, Universität Karlsruhe, Geodätisches Institut

FHN

Dr. Frank Heidmann, Fraunhofer Institut für Arbeitswirtschaft und Organisation, Stuttgart

RHN

Prof. Dr. Reinhard Hoffmann, Universität Trier, FB Geographie/Geowissenschaften – Didaktik der Geographie

KIK

Prof. Dr. Karl-Heinz Ilk, Universität Bonn, Institut für Theoretische Geodäsie

WKR

Dipl.-Geol. Wolfgang Kaseebeer, Universität Karlsruhe, Lehrstuhl für Angewandte Geologie

KKN

Prof. Dr. Ing. Karl-Hans Klein, Bergische Universität Wuppertal, FB 11, Vermessungskunde/ Ingenieurvermessung

AKL

Dipl.-Geogr. Alexander Klippel, Universität Hamburg, FB Informatik

CKL

Dr. Christof Kneisel, Universität Trier, FB Geographie/Geowissenschaften – Physische Geographie

WKH

Prof. Dr. Wolf Günther Koch, Technische Universität Dresden, Institut für Kartographie

IKR

Prof. Dr. Ingrid Kretschmer, Universität Wien, Institut für Geographie und Regionalforschung, (A)

JKI

Dr. Jan Krupski, Universität Wroclaw (Breslau), Institut für Geographie, (PL)

CLT

Dipl.-Geogr. Christian Lambrecht, Institut für Länderkunde, Leipzig

ALI

Dipl.-Geogr. Annette Lipinski, Köln

KLL

Dr. Karl-Heinz Löbel, TU Bergakademie Freiberg

OMF

Dr. Otti Margraf, Beucha

SMR

Prof. Dr. Siegfried Meier, TU Dresden, Institut für Planetare Geodäsie

SMI

Dipl.-Geogr. Stefan Neier-Zielinski, Basel (CH)

GML

Dr. Gotthard Meinel, Institut für Ökologische Raumentwicklung, Dresden

RMS

Roland Meis, Puls

BMR

Prof. Dr. Bernd Meißner, Technische Fachhochschule Berlin, FB 7

MMY

Doz. Dr. Dipl.-Ing. Miroslav Miksovsky, TU Prag, Fakultät Bauwesen, (CZ)

AMR

Dr. Andreas Müller, Universität Trier, FB Geographie/Geowissenschaften – Abt.Kartographie

JMR

Dr.-Ing. Jürgen Müller, TU München, Institut für Astronomische und Physikalische Geodäsie

MND

Dr. Maik Netzband, Universität Leipzig, Institut für Geographie

JNN

Prof. Dr. Joachim Neumann, Wachtberg

ANL

Dr. Axel Nothnagel, Universität Bonn, Geodätisches Institut

FOG

Prof. Dr. Ferjan Ormeling, Universität Utrecht, Institut für Geographie, (NL)

NPL

Dr. Nikolas Prechtel, TU Dresden, Institut für Kartographie

WER

Dr. Wolf-Dieter Rase, Bundesamt für Städtebau und Raumplanung, Abt. I, Bonn

KRR

Prof. Dr. em. Karl Regensburger, TU Dresden, Institut für Photogrammetrie und Fernerkundung

WRT

Prof. Dr. Wolfgang Reinhardt, Universität der Bundeswehr, Institut für Geoinformation und Landentwicklung, Neubiberg

HRR

Heinz W. Reuter, DFS Deutsche Flugsicherung GmbH, Offenbach

SRI

Dipl.-Geogr. Simon Rolli, Basel (CH)

CRE

Dipl.-Ing. Christine Rülke, TU Dresden, Institut für Kartographie

DSB

PD Dr. Daniel Schaub, Aarau (CH)

MST

Dr. Mirko Scheinert, TU Dresden, Institut für Planetare Geodäsie

WSR

Dr.-Ing. Wolfgang Schlüter, Wetzell

RST

Dr. Reinhard-Günter Schmidt, Universität Trier, FB Geographie/Geowissenschaften – Physische Geographie

JSR

PD Dr. Ing. Johannes Schoppmeyer, Universität Bonn, Institut für Kartographie und Geoinformation

HSN

Prof. Dr. Heidrun Schumann, Universität Rostock, Institut für Computergraphik, FB Informatik

BST

PD Dr. Brigitta Schütt, Universität Trier, FB Geographie/Geowissenschaften – Physische Geographie

HSH

Prof. Dr.-Ing. Harald Schuh, TU Wien, Institut für Geodäsie und Geophysik, (A)

GSR

Prof. Dr. Günter Seeber, Universität Hannover, Institut für Erdmessung

KSA

Prof. Dr. Kira B. Shingareva, Moskauer Staatliche Universität für Geodäsie und Kartographie, (RU)

JSS

Dr. Jörn Sievers, Bundesamt für Kartographie und Geodäsie, Frankfurt

MSL

Prof. Dr. Michael H. Soffel, TU Dresden, Lohrmann-Observatorium

ESS

Prof. Dr. em. h.c. Ernst Spiess, Forch (CH)

WSS

Doz. i.R. Dr. Werner Stams, Radebeul

MSR

Dipl.-Geogr. Monika Stauber, Berlin

KST

Prof. Dr. em. Klaus-Günter Steinert, TU Dresden, Lohrmann-Observatorium

PTZ

Dr. Peter Tainz, Universität Trier, FB Geographie/Geowissenschaften – Abt. Kartographie

ETL

Dr. Elisabeth Tressel, Universität Trier, FB VI/Physische Geographie

AUE

Dr. Anne-Dore Uthe, Institut für Stadtentwicklung und Wohnen des Landes Brandenburg, Frankfurt/Oder

GVS

Dr.-Ing. Georg Vickus, Hildesheim

WWR

Dipl.-Geogr. Wilfried Weber, Universität Trier, FB Geographie/Geowissenschaften – Abt. Kartographie

IWT

Prof. Dr. Ingeborg Wilfert, TU Dresden, Institut für Kartographie

HWL

Dr. Hagen Will, Gießen

DWF

Dipl.-Ing. Detlef Wolff, Leverkusen

Schreiben Sie uns!

Wenn Sie inhaltliche Anmerkungen zu diesem Artikel haben, können Sie die Redaktion per E-Mail informieren. Wir lesen Ihre Zuschrift, bitten jedoch um Verständnis, dass wir nicht jede beantworten können.

Partnerinhalte

Bitte erlauben Sie Javascript, um die volle Funktionalität von Spektrum.de zu erhalten.