Lexikon der Kartographie und Geomatik: Winkelverzerrung
Winkelverzerrung, E angular distortion, bei Kartennetzentwürfen der Unterschied der Größe eines Winkels im Punkt P1 in der Bezugsfläche, der durch Großkreisbögen P1P2 und P1P3 entsteht und der Größe des entsprechenden Winkels P2'P1'P3' in der Abbildungsebene. Wie aus der Verzerrungstheorie hervorgeht, muss i. a. Fall, d. h. wenn dem Entwurf keine konforme Abbildung zugrunde liegt, in P1' die Winkelverzerrung vom Azimut abhängen, da die Längenverzerrungmα ebenfalls azimutabhängig ist. Es ist üblich, die Verzerrung des rechten Winkels zwischen Meridianen und Parallelkreisen in der Abbildungsebene mit Θ (Abb.) und die maximale Winkelverzerrung nach der Verzerrungstheorie mit 2Δω zu bezeichnen.
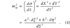
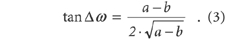
Bei Kenntnis der Halbachsen a und b der Verzerrungsellipse ist nach der Verzerrungstheorie ![]()
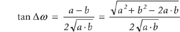
Dieser Ausdruck für die Winkelverzerrung kann mit den bekannten goniometrischen Zusammenhängen auch durch die anderen Winkelfunktionen ausgedrückt werden, nämlich: ![]()
und ![]()
Wie schon bemerkt, sind die Achsen der Verzerrungsellipse a und b i. a. nicht bekannt. Sie werden explizit nur benötigt, wenn die Verzerrungen eines Kartennetzentwurfs durch Einzeichnen der Verzerrungsellipsen an vielen Punkten der Karte global charakterisiert werden sollen.
Als zweckmäßiger zur Berechnung der Winkelverzerrungen eines Entwurfs erweist sich die Verwendung der partiellen Differentiale fφ, fλ, gφ und gλ (Verzerrungstheorie Gleichung (Gl.) (4)) und der Ausdrücke für die Längenverzerrung im Meridian mm und im Parallelkreis mp Verzerrungstheorie Gl. (8) und (9) sowie des Winkels δ. Dazu sind die zwischen beiden Systemen bestehenden Zusammenhänge nachzuweisen.
Im oberen Teil (a) der Abbildung ist ein differentieller Kreis auf der Kugeloberfläche mit dem Radius dS und dem Winkel ω zwischen der Meridianrichtung MP und der ξ-Achse in einem beliebig um M orientierten rechtwinkligen Koordinatensystem ξ, η. Der Parallelkreisbogen schließt mit der η-Achse den gleichen Winkel ω ein. Im unteren Teil (b) der Abbildung ist X, Y das durch Affinität bestimmte Abbild des ξ-η-Systems. Das heißt, von M' aus liegt in der X-Richtung die große Achse der Verzerrungsellipse a und in der Y-Richtung die kleine b.
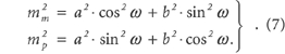
Nach der Verzerrungstheorie gilt die Längenverzerrung mα =mω in Richtung ω bezogen auf die willkürlichen Ausgangsrichtungen ξ und η: 
Der letzte Ausdruck gilt entsprechend der Verzerrungstheorie aufgrund der in der Abbildung geltenden Affinität zwischen Kreis und Verzerrungsellipse. Aus der Abbildung liest man direkt ab für den Meridian: ![]()
und für den Parallelkreis ![]()
Durch Einsetzen von (5) und (6) in (4) findet man zwei Gleichungen: 
Die Summe der beiden Gleichungen (7) ergibt die gesuchte Beziehung zwischen den Halbachsen der Verzerrungsellipse a und b in der Ebene und den partiellen Differentialen fφ, fλ, gφ und gλ des sphärischen Differentialdreiecks: ![]()
Gl. (8) ist eine Gleichung mit zwei Unbekannten. Durch Hinzunahme einer weiteren Gleichung aus der Flächenverzerrung (Gl. (2)) ![]()
wird die Umformung lösbar.
Von Gleichung (3) ausgehend wird die Verbindung zwischen (8) und (9) wie folgt geknüpft: ![]()
und schließlich: 
Mithilfe der Substitution: ![]()
erhält man einen weiteren Ausdruck: 
Schließlich kann cosδω in bekannter Weise in sinδω umgewandelt werden: 
Die Gleichungen (10), (11) und (12) lassen sich durch Einführung der Flächenverzerrung vf nach Gl. (9) vereinfachen. Eine wesentliche Vereinfachung ergibt sich für Entwürfe, bei denen die Bilder der Meridiane und der Parallele sich rechtwinklig schneiden, bei denen also Θ = 90° gilt. Dann erhält man: 
KST
Literatur: [1] FIALA, F. (1957): Mathematische Kartographie. Berlin. WAGNER, K.H. (1949): Kartographische Netzentwürfe. Bibl. Inst., Leipzig.
Winkelverzerrung:Winkelverzerrung: a) differentieller Kreis auf der Kugeloberfläche mit dem Radius dS und dem Winkel ω zwischen der Meridianrichtung MP und der ξ-Achse in einem beliebig um M orientierten rechtwinkligen Koordinatensystem ξ,η; b) X,Y ist das durch Affinität bestimmte Abbild des ξ-η-Systems.

Wenn Sie inhaltliche Anmerkungen zu diesem Artikel haben, können Sie die Redaktion per E-Mail informieren. Wir lesen Ihre Zuschrift, bitten jedoch um Verständnis, dass wir nicht jede beantworten können.