Lexikon der Mathematik: Fuzzy-Relation
unscharfe Relation, eine Fuzzy-(Teil-)Menge
\begin{eqnarray}\overset{}{\tilde{R}}\,=\left\{ \left( \left( {{x}_{1}},...,{{x}_{n}} \right),{{\mu }_{R}}\left( {{x}_{1}},...,{{x}_{n}} \right) \right)|\left( {{x}_{1}},...,{{x}_{n}} \right)\in {{X}_{1}}\times \cdots \times {{X}_{n}} \right\}\end{eqnarray}
auf dem kartesischen Produkt X1 × … × Xn.Die unscharfe Relation „x ist viel größer als y“ läßt sich z. B. auf der Grundmenge (0, +∞) × (0, +∞) beschreiben durch die Zugehörigkeitsfunktion
\begin{eqnarray}{{\mu }_{R}}\left( x,y \right)=\left\{ \begin{array}{*{35}{l}} 0 & \mathrm f\ddot{\mathrm u}\mathrm r\ & x \lt y, \\ \frac{x-y}{10y} & \mathrm f\ddot{\mathrm u}\mathrm r\ & y \lt x \lt11y, \\ 1 & \mathrm f\ddot{\mathrm u}\mathrm r\ & 11y\le x. \\ \end{array} \right.\end{eqnarray}
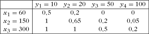
Hat eine 2-stellige Fuzzy-Relation eine endliche stützende Menge, so läßt sie sich auch durch eine Matrix charakterisieren. Beispielsweise läßt sich die Relation „x ist viel größer als y“ auf derMenge {60, 150, 300} × {10, 20, 50,100} beschreiben durch die MatrixWie klassische Relationen, so lassen sich auch Fuzzy-Relationen miteinander verketten. Die bekannteste Verkettung ist die max-min-Verkettung zweier Fuzzy-Relationen
\begin{eqnarray}\begin{array}{*{35}{l}} {{\widetilde{R}}_{1}}=\left\{ \left( \left( x,y \right),{{\mu }_{{{R}_{1}}}}\left( x,y \right) \right)|\left( x,y \right)\in X\times Y \right\}\,\text{und} \\ {{\widetilde{R}}_{2}}=\left\{ \left( \left( x,y \right),\,{{\mu }_{{{R}_{2}}}}\left( x,y \right) \right)|\left( x,\,y \right)\,\in \,Y\,\times \,Z \right\}, \\ \end{array}\end{eqnarray}
die definiert ist als\begin{eqnarray}{{\overset{}{{\widetilde{R}}_{1}}}}\circ {{\overset{}{\widetilde{R}}}_{2}}=\left\{ \left( \left( x,z \right),\,\underset{y\in Y}{\mathop{\max }}\,\min \left( {{\mu }_{{{R}_{1}}}}\left( x,y \right),{{\mu }_{{{R}_{2}}}}\left( y,z \right) \right) \right)|\left( x,z \right)\in X\times Z \right\}.\end{eqnarray}
Eine Fuzzy-Relation \(\overset{}{\widetilde{R}}\,\) auf X × X heißt
- i. reflexiv
\begin{eqnarray}\begin{array} \Leftrightarrow & {{\mu }_{R}}\left( x,x \right)=1 & \forall x\in X; \\ \end{array}\end{eqnarray}
- ii. symmetrisch
\begin{eqnarray}\begin{array} \Leftrightarrow & {{\mu }_{R}}\left( x,y \right)={{\mu }_{R}}\left( y,x \right) & \forall x,y\in X; \\ \end{array}\end{eqnarray}
\begin{eqnarray}\begin{array} \Leftrightarrow & \overset{}{\widetilde{R}}\,\circ \overset{}{\widetilde{R}}\,\subset \overset{}{\widetilde{R}}\,; \\ \end{array}\end{eqnarray}
\begin{eqnarray}\begin{array} \Leftrightarrow & \{\begin{array}{*{35}{l}} {{\mu }_{R}}\left( x,y \right)\ne {{\mu }_{R}}\left( y,x \right) \\ {{\mu }_{R}}\left( x,y \right)={{\mu }_{R}}\left( y,x \right)=0 \\ \end{array} & \text{order} \\ \end{array}\end{eqnarray}
für alle (x,y) ∈ X2 mit x ≠ y;\begin{eqnarray}\begin{array} \Leftrightarrow & \left( {{\mu }_{R}}\left( x,y \right)>0\Rightarrow {{\mu }_{R}}\left( y,x \right)=0 \right) \\ \end{array}$$?> für alle x, y ∈ X2 mit x ≠ y.

Wenn Sie inhaltliche Anmerkungen zu diesem Artikel haben, können Sie die Redaktion per E-Mail informieren. Wir lesen Ihre Zuschrift, bitten jedoch um Verständnis, dass wir nicht jede beantworten können.