Direkt zum Inhalt

Lexikon der Mathematik: Plücker-Einbettung

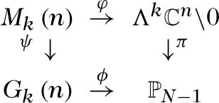
Einbettung der Graßmann-Mannigfaltigkeiten Gk (n) in den Raum ℙN−1 mit \(N=(n\\ k)\).

Sei \begin{eqnarray}{M}_{k}(n)\,:=\,\{A\,\in \,{{\rm{{\mathbb{C}}}}}^{k\,\times \,n};\,\text{rang}A\,\text{=}\,k\}\,\subset \,{{\rm{{\mathbb{C}}}}}^{k\,\times \,n}\end{eqnarray} und \begin{eqnarray}{G}_{k}(n)\,:=\,GL(n,\,{\rm{{\mathbb{C}}}})\,\backslash \,\{A\,\in \,GL(n,\,{\rm{{\mathbb{C}}}})\,|\,A({{\rm{{\mathbb{C}}}}}^{k})={{\rm{{\mathbb{C}}}}}^{k}\}\end{eqnarray} die Graßmann-Mannigfaltigkeit. Aj bezeichne die j-te Spalte von A, und für einen Vektor (ν1,…, νk) ∈ ℕk mit 1 ≤ ν1< … < νkn sei Aν := (Aν1 ,…, Aνk). Dann existiert ein kommutatives Diagramm

Abbildung 1 zum Lexikonartikel Plücker-Einbettung
© Springer-Verlag GmbH Deutschland 2017
 Bild vergrößern
holomorpher Abbildungen, so daß \(\varphi (A)\,:=\,{A}_{1}^{t}\,\wedge\mathrm{\ldots }\wedge \,{A}_{k}^{t},\,N=\left(\begin{array}{c}n\\ k\end{array}\right)\), und π die kanonische Projektion ist.

Die Abbildung ϕ ist injektiv, denn wenn gilt ϕA = ϕÃ, dann existiert ein µ ∈ ℂ , so daß φà = µkφÃ, und daher auch ein gGL (k, ℂ), so daß A = (µg)Ã. Außerdem ist ϕ eine Immersion: Sei {e1,…, en} die kanonische Basis von ℂn, dann gilt \begin{eqnarray}\phi (A)=(\det \,{A}_{v})\,{e}_{{v}_{1}}\,\wedge\,\mathrm{\ldots }\,\wedge\,{e}_{{v}_{k}};\end{eqnarray} für die Karte U ≅ ℂN−1 im ℙN−1, gekennzeichnet durch den Koeffizienten 1 für e1 ∧ … ∧ ek hat die Abbildung \begin{eqnarray}\phi \,:\,W\,\cong \,{{\rm{{\mathbb{C}}}}}^{k\,\times \,(n-k)}\,\to \,U\,\cong \,{{\rm{{\mathbb{C}}}}}^{N-1}\end{eqnarray} die Komponenten ϕν mit ϕν (A) = det Aν. Für j >k gilt \begin{eqnarray}{\varphi }_{(1,\mathrm{\ldots },\hat{i},\mathrm{\ldots },k,j)}(A)=\det \,\left(\begin{array}{ccccccc}1 & & & 0 & & & {b}_{1j}\\ 0 & \ddots & & & & & .\\ & \ddots & 1 & & & & .\\ & & 0 & 0 & & & .\\ & & & 1 & \ddots & & .\\ & 0 & & i & \ddots & 0 & .\\ & & & & & 1 & {b}_{kj}\end{array}\right)={(-\,1)}^{k\,-i\,-1}\,{b}_{ij,}\end{eqnarray} und es folgt rang = k(nk).

Siehe auch Graßmann-Varietät.

  • Die Autoren
- Prof. Dr. Guido Walz

Schreiben Sie uns!

Wenn Sie inhaltliche Anmerkungen zu diesem Artikel haben, können Sie die Redaktion per E-Mail informieren. Wir lesen Ihre Zuschrift, bitten jedoch um Verständnis, dass wir nicht jede beantworten können.

Partnerinhalte

Bitte erlauben Sie Javascript, um die volle Funktionalität von Spektrum.de zu erhalten.