Lexikon der Neurowissenschaft: Desoxyribonucleinsäuren
Desoxyribonucleinsäuren, Abk. DNS, Edeoxyribonucleic acids (Abk. DNA), Nucleinsäuren, in denen als monomere Bausteine fast ausschließlich 2'-Desoxyadenosin-5'-monophosphat (dAMP), 2'-Desoxycytidin-5'monophosphat (dCMP), 2'-Desoxyguanosin-5'-monophosphat (dGMP) und 2'-Desoxythymidin-5'-monophosphat (dTMP) vorkommen. Durch Veresterung der 5'-Phosphatgruppe jedes Grundbausteins mit der 3'-Hydroxylgruppe des benachbarten Monomeren bilden sich die unverzweigten DNA-Kettenmoleküle ( siehe Abb. 1 ; siehe Zusatzinfo ). Aufgrund der linearen Verknüpfung der 4 Grundbausteine in nichtzufallsmäßiger und daher schriftartiger Reihenfolge ist DNA Träger der genetischen Information. Diese wird über Kopien in Form von Ribonucleinsäuren (Transkription) in Proteine (Translation) umgesetzt. – Unter physiologischen Bedingungen liegt DNA nicht in der Säureform, sondern als Poly-Anion mit je einer negativen Ladung pro Nucleotidrest vor. Mit Ausnahme der DNAs bestimmter Bakteriophagen besteht DNA aus zwei komplementären Ketten, die über Basenpaarungen zu einer Doppelhelix-Struktur vereinigt sind ( siehe Abb. 2 ). Neben der klassischen, rechtsdrehenden DNA-Doppelhelix (B-DNA) wurden weitere Doppelhelix-Formen entdeckt, so die rechtsdrehende A-DNA und auch eine linksdrehende Form (sogenannte Z-DNA). Durch weitere, den Windungen der DNA-Doppelhelix überlagerte Spiralisierung entstehen sogenannte supercoil-Formen. Diese sind sowohl durch das die DNA umgebende Kationenmilieu als auch durch Bindung von DNA an bestimmte Proteine, bei kernhaltigen Zellen besonders an die Histone, bedingt und führen so zu den stärker verdichteten Strukturen der Chromatiden und Chromosomen, die nach Anfärbung bereits im Lichtmikroskop erkennbar sind. Die Hauptmenge von DNA ist in Eukaryoten in den Chromosomen der Zellkerne lokalisiert. Darüber hinaus kommt DNA extrachromosomal in Mitochondrien (Chondrom) vor und bildet hier die Grundlage für den semiautonomen Charakter dieser Organelle bzw. für extrachromosomale, d.h. nicht den Mendelschen Regeln gehorchende Erbgänge bestimmter Merkmale.

Desoxyribonucleinsäuren
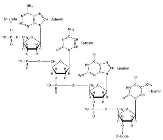
Abb. 1: Ausschnitt aus einem DNA-Einzelstrang mit der Tetra-Nucleotidsequenz ACGT (in der konventionellen 5' -> 3'-Richtung, d.h. vom 5'-Ende zum 3'-Ende, gelesen).
Desoxyribonucleinsäuren
DNA-Synthese:
Die Synthese von DNA erfolgt in der Zelle durch semikonservative Replikation unter der katalytischen Wirkung mehrerer Enzyme, besonders der DNA-Polymerasen, DNA-Ligasen und DNA-Gyrasen. Als aktivierte Monomerbausteine werden die 4 2'-Desoxyribonucleosid-5'-triphosphate unter Abspaltung von Pyrophosphat umgesetzt, wobei deren Mononucleotidreste schrittweise in 5'-3'-Richtung der wachsenden DNA-Einzelstränge aneinandergehängt werden. Mit Hilfe von organisch-chemischen und enzymatischen Methoden sind DNA-Synthesen auch im Reagenzglas möglich und werden bei gentechnologischen Methoden eingesetzt.

Desoxyribonucleinsäuren
Abb. 2:Doppelstrangmodell (Doppelhelix) einer DNA:
Links schematisch ein Ausschnitt von 19 Basenpaaren (= fast 2 Windungen), rechts als Molekülmodell geringfügig vergrößert und daher als etwas kleinerer Ausschnitt von nur 16 Basenpaaren. Man beachte die beiden verschieden großen, parallel zu den beiden Zucker-Phosphat-Rückgraten verlaufenden Furchen, die als große bzw. kleine Furchen bezeichnet werden; durch diese sind die Basen trotz ihrer Verpackung im Inneren der Doppelhelix und trotz der wechselseitigen Paarung in erheblichen Maße von außen zugänglich. Dies ist von großer Bedeutung für die Interaktion von regulatorisch wirksamen Proteinen (unter anderem Repressoren, Aktivatoren, RNA-Polymerase), da so das "Abtasten" bzw. "Erkennen" spezifischer Nucleotidsequenzen auch ohne Aufbrechen der Doppelhelix möglich ist. Die Dicke der Doppelhelix, entsprechend der größten Breite des rechten Modells, beträgt 1,9 nm; die Länge einer helikalen Windung, die ziemlich genau 10 Basenpaaren entspricht, beträgt 3,4 nm. Die gesamte DNA einer einzigen menschlichen Eizelle bzw. Samenzelle mit etwa 3·109 Basenpaaren summiert sich zu einer Länge von etwa 1 m.
Wenn Sie inhaltliche Anmerkungen zu diesem Artikel haben, können Sie die Redaktion per E-Mail informieren. Wir lesen Ihre Zuschrift, bitten jedoch um Verständnis, dass wir nicht jede beantworten können.