Lexikon der Neurowissenschaft: Glutathion
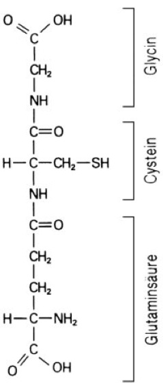
Glutathions [von latein. gluten = Leim, griech. theios = Schwefel], Abk. GSH, E glutathione, schwefelhaltiges Tripeptid (γ-Glutamylcysteinylglycin; siehe Abb. ), das wegen seiner Thiolgruppe und der γ-Glutamylbindung eine Fülle von biologischen Funktionen besitzt, die Entgiftungsreaktionen, Strukturbildung von Proteinen, Coenzymfunktionen, Reparatur von DNA-Schäden, Beeinflussung des Zellmilieus und damit Beteiligung an Entwicklungs- und Alternsprozessen (Altern) umfassen. Es steht in der Zelle im Gleichgewicht mit dem Glutathion-Disulfid GSSG, das als Oxidationsprodukt entweder durch katalytische Wirkung einer Selen-haltigen Glutathion-Peroxidase entsteht, wobei im Stoffwechsel anfallendes H2O2 reduziert wird, oder in einer Transhydrogenierung gebildet wird. Weiter kann GSSG durch Wirkung freier Radikale entstehen oder extrazellulär durch spontane Oxidation unter Bildung von H2O2. Eine NADPH-abhängige GSSG-Reductase katalysiert die Rückreaktion zu Glutathion. Normalerweise wird dadurch der GSSG-Gehalt der Zelle weit unter 10% gegenüber der reduzierten Form gehalten. – Zahlreiche exogene (Medikamente, Umweltgifte) und endogene (z.B. Prostaglandine und Leukotriene) Substanzen werden mit Glutathion konjugiert. SH-Gruppen von Proteinen werden durch Glutathion vor Oxidation geschützt. Durch die Spaltung von Disulfidgruppen und die enzymatische oder nicht-enzymatische Oxidation zu GSSG wirkt Glutathion als wichtigstes nicht-enzymatisches Antioxidans (Antioxidantien) und schützt die Zelle vor dem Angriff freier Sauerstoffradikale. Damit im Zusammenhang steht eine entscheidende Mitwirkung bei der Aufrechterhaltung eines definierten Redoxpotentials in der Zelle, wie es für Entwicklungs- und Differenzierungsprozesse unabdingbar ist. Glutathionmangel bzw. Defekte von Enzymen des Glutathionstoffwechsels führen zu einer Reihe von Erkrankungen, z.B. Degenerationen im Zentralnervensystem, Polyneuropathien und Myopathien. Bei der Parkinson-Krankheit findet sich eine Reduktion des Glutathions in der Substantia nigra pars compacta.

Glutathion
Wenn Sie inhaltliche Anmerkungen zu diesem Artikel haben, können Sie die Redaktion per E-Mail informieren. Wir lesen Ihre Zuschrift, bitten jedoch um Verständnis, dass wir nicht jede beantworten können.