Lexikon der Neurowissenschaft: Lokalanästhetika
Lokalanästhetika,Elocal anaesthetics, an Nerven angreifende Substanzen ( siehe Abb. ), die örtlich begrenzt die Erregbarkeit (Erregung) und damit das Leitungsvermögen dieser Nerven reversibel vollständig oder teilweise aufheben, indem sie durch eine Blockade der neuronalen Natriumkanäle die Ausbreitung des Aktionspotentials verhindern ( siehe Zusatzinfo ). Die Schmerzempfindung wird dadurch in den betroffenen Körperregionen ausgeschaltet (Betäubung, Lokalanästhesie, Schmerz), ohne daß Einfluß auf das Bewußtsein genommen wird. Das Zentralnervensystem wird bei sachgemäßer Applikation der Lokalanästhetika im Gegensatz zu der Anwendung von Narkotika nicht beeinflußt. – Cocain war das erste Lokalanästhetikum (1884 erstmals verwendet). Aufgrund seiner suchterzeugenden Wirkung wurden andere Verbindungen entwickelt. Das Cocain-Molekül wurde dabei als Modell verwendet. Erstes synthetisches Lokalanästhetikum war das Benzocain. – Man unterscheidet zwei Gruppen von Lokalanästhetika: 1) LokalanästhetikavomEstertyp. Zu dieser Gruppe gehören z.B. Cocain, Benzocain, Procain und Tetracain. Diese werden, sobald sie ins Blut gelangen, durch die Cholinesterase des Plasmas und unspezifische Esterasen in lokalanästhetisch inaktive Produkte gespalten. Der Abbau in der Leber ist außer bei Cocain von untergeordneter Bedeutung. 2) LokalanästhetikavomSäureamidtyp. Zu dieser Gruppe gehören z.B. Lidocain, Etidocain, Mepivacain und Prilocain. Diese werden ausschließlich durch die Monoamin-Oxidase in der Leber durch oxidative Desalkylierung oder Hydrolyse abgebaut. Dieser Vorgang verläuft bedeutend langsamer als der Abbau der Lokalanästhetika vom Estertyp, weshalb die Lokalanästhetika vom Säureamidtyp im Mittel eine längere Halbwertszeit besitzen. – Lokalanästhetika blockieren sehr schnell die Erregungsleitung in dünnen, wenig myelinisierten Nerven (sensible Nerven). Dickere oder stark myelinisierte Nervenfasern (motorische Nervenfasern) werden erst bei hohen Konzentrationen gehemmt. Nacheinander werden folgende Empfindungen ausgeschaltet: Schmerz, Temperatur, Berührung, Druck. Bei Abklingen der Wirkung kehren die genannten Empfindungen in umgekehrter Reihenfolge wieder zurück. Da Lokalanästhetika prinzipiell an allen elektrisch erregbaren Geweben wirken (Zentralnervensystem, Herz, glatte Muskulatur), kann es zu lebensbedrohlichen Nebenwirkungen kommen, wie z.B. starken Erregungszuständen, Krämpfen, Atemdepression und Herz-/Kreislauf-Versagen, wenn in diesen Geweben wirksame Konzentrationen erreicht werden. - Die synthetischen Lokalanästhetika besitzen im Gegensatz zu Cocain keine vasokonstriktorische Wirkung, sondern sind eher vasodilatatorisch wirksam. Deshalb können Injektionslösungen solcher Lokalanästhetika Vasokonstriktoren (z.B. Adrenalin, Noradrenalin) zugesetzt werden, um eine Resorption der Lokalanästhetika von der Injektionsstelle zu verzögern.

Lokalanästhetika
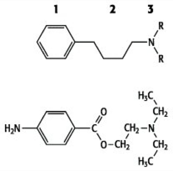
Lokalanästhetika weisen in der Regel folgende drei strukturchemische Charakteristika auf (oben allgemein, unten konkrete Realisierung am Beispiel Procain):
aromatischer Rest (1), aliphatische Kette mit Amid- oder Esterbindung (2), sekundärer oder tertiärer Stickstoff (3).
Lokalanästhetika
Lokalanästhetika sind Natriumkanalantagonisten, deren Bindungsstelle im Inneren des Natriumkanals in der hydrophilen Pore liegt. Lokalanästhetika senken dadurch die Membranpermeabilität für Na+-Ionen; in toxischen Konzentrationen werden auch Kaliumkanäle blockiert. Die Lokalanästhetika müssen sich in die Membran einlagern oder durch die Membran "hindurchlösen", um einen Effekt ausüben zu können. Die heute verwendeten Lokalanästhetika liegen beim physiologischen pH von 7,4 nur zu einem geringen Prozentsatz in der nichtionisierten Form vor. Nur in dieser lipophilen Form können sie in die Membran eindringen und an ihren Wirkort gelangen. Der lipophile Molekülteil wird dabei in die Membran eingelagert, der hydrophile Molekülteil blockiert den Kanal. Ist der pH-Wert des Gewebes höher als 7,4, so liegen die Lokalanästhetika fast ausschließlich in der nicht-ionisierten Form vor und verlieren ihre Wirksamkeit, da auch der sonst hydrophile Teil des Moleküls in die lipophilen Bereiche des Ionenkanals zu liegen kommt. Ist der pH des Gewebes niedriger als 7,4, liegen die Lokalanästhetika zum größten Teil in der ionisierten Form vor und können sich nicht in die Membran einlagern, weshalb sie ihre Wirksamkeit ebenfalls einbüßen. Manche Lokalanästhetika (z.B. das primäre Amin Benzocain) bewirken durch Einlagern in die Membran eine Störung des Membrangefüges und damit eine indirekte Blockade des Na+-Kanals. Ihr Wirkmechanismus ist damit analog dem der Inhalationsnarkotika.
Wenn Sie inhaltliche Anmerkungen zu diesem Artikel haben, können Sie die Redaktion per E-Mail informieren. Wir lesen Ihre Zuschrift, bitten jedoch um Verständnis, dass wir nicht jede beantworten können.