Lexikon der Neurowissenschaft: Umkehrpotential
Umkehrpotential s, Ereversal potential, 1) allgemeine Definition: in einer funktionellen Abhängigkeit I(V) eines Stromes I von einem Potential V der Wert desjenigen Potentials Vrev, an dem die Kurve die V-Achse schneidet. Bei Veränderung von V kehrt an dieser Stelle der Strom sein Vorzeichen um. 2) Ionenspezifische Einschränkung: In einer neurophysiologischen Theorie erklärt man einen empirisch ermittelten Strom I durch elementare Membranströme, nämlich durch Ströme IX einzelner Ionensorten X, die in gesetzmäßiger Weise vom jeweiligen MembranpotentialV abhängen. Das Umkehrpotential eines Ionenstroms IX wird wie oben definiert. Es ist mit dem Gleichgewichtspotential der Ionensorte X identisch. Dies ist unabhängig von der Gültigkeit des verallgemeinerten Ohmschen Gesetzes. Sind mehrere Ionen an der Stromerzeugung beteiligt (wie im Falle der motorischen Endplatte; siehe Zusatzinfo ), stellt das Umkehrpotential einen Mittelwert aus den Gleichgewichtspotentialen der einzelnen Ionen dar. Genügen die einzelnen Ionenströme IX dem verallgemeinerten Ohmschen Gesetz und ist ihr Nettostrom
gleich Null, dann ist per definitionem
, also
.
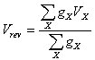
Daraus folgt für das Umkehrpotential des Nettostroms

.
Ist nur eine einzige Ionensorte X beteiligt, so gilt wieder ![]()
.
Umkehrpotential
Umkehrpotentiale findet man z.B. an einer motorischen Endplatte: Wenn die Acetylcholin-sensitiven Ionenkanäle der Endplatte (nicotinische Acetylcholinrezeptoren) geöffnet wurden und Natrium- sowie Kaliumionen hindurchfließen (Natrium nach innen, Kalium nach außen), so wird sich in kurzer Zeit ein Gleichgewichtszustand einstellen, an dem der einwärtsgerichtete Natriumstrom den auswärtsgerichteten Kaliumstrom genau kompensiert: Es fließt also kein Nettostrom. Nach Erreichen dieses Potentialwerts dreht sich die Stromrichtung wieder um (Name!), Natrium fließt hinaus und Kalium wieder herein.
Wenn Sie inhaltliche Anmerkungen zu diesem Artikel haben, können Sie die Redaktion per E-Mail informieren. Wir lesen Ihre Zuschrift, bitten jedoch um Verständnis, dass wir nicht jede beantworten können.