Lexikon der Optik: Astigmatismus
Astigmatismus, 1) A. optischer Systeme, Aberration, durch die ein objektseitig homozentrisches Strahlenbündel in ein bildseitiges Sturmsches Konoid, d.h. in ein astigmatisches Strahlenbündel mit elliptischem Querschnitt, dessen Exzentrizität sich mit dem Abstand vom optischen System ändert, überführt wird (Abb. 1). Die Hauptachsen dieser Querschnittsellipsen liegen in den beiden Hauptschnitten der astigmatischen Abbildung, in denen auch die beiden orthogonalen, im Abstand der astigmatischen Differenz angeordneten Bild- oder Brennlinien liegen, in die diese Querschnittsellipsen entarten. Die Entartung des Bildpunktes in zwei Bildlinien ist charakteristisch für den A. Zwischen den Bildlinien existiert ein Ort mit kreisförmigem Bündelquerschnitt. Die Wellenfläche wird durch A. torisch deformiert.
Axialer A. tritt bei nicht axialsymmetrischen optischen Systemen wie torischen und Zylinderlinsen, sphärischen Linsen mit Oval- und Sattelpaßfehler (Paßfehler) und Augen mit torischer Hornhaut oder Augenlinse sowie dezentrierten (Dezentrierung) Systemen infolge unterschiedlicher Brechkräfte in den beiden Hauptschnitten bereits bei der paraxialen Abbildung auf.
Der auch als Zweischalenfehler bezeichnete A. schiefer Bündel entsteht analog zum axialen A. torischer Flächen dadurch, daß für flächenorthogonal einfallende Strahlenbündel eine Kugelfläche im Sagittalschnitt (sagittal) eine gegenüber dem Meridionalschnitt (meridional) veränderte effektive Krümmung besitzt. Dadurch verlieren die schiefen Strahlenbündel ihre Rotationssymmetrie, so daß sich die Meridionalstrahlen in einer sagittalen Bildlinie und die Sagittalstrahlen in einer meridionalen Bildlinie schneiden, die beide im allgemeinen gegenüber der Bildebene der Gaußschen Abbildung um b ![]()
bzw. b ![]()
in Abhängigkeit von der Objekthöhe y oder vom halben Bildwinkel σ ![]()
defokussiert (Defokussierung) sind. Deshalb wird der A. schiefer Bündel graphisch durch die Funktionen b ![]()
(σ ![]()
) und b ![]()
(σ ![]()
) dargestellt (Abb. 2). Entsprechend liegen diese beiden Bildlinien und der dazwischenliegende Zerstreuungskreis für das gesamte Bildfeld jeweils auf einer sagittalen oder meridionalen bzw. mittleren Bildschale (Abb. 3). Der A. schiefer Bündel ist deshalb immer mit Bildfeldwölbung verbunden.
In der Gaußschen Bildebene erzeugt der A. schiefer Bündel eine elliptische Zerstreuungsfigur, deren Halbachsendifferenz Δy ![]()
st durch die astigmatische Differenz bestimmt wird und ebenso wie die Halbachsen selbst in der Näherung der Bildfehlertheorie 3. Ordnung hBy2 bzw. hBtan2σ ![]()
proportional (hB Strahleinfallshöhe in der Eintrittspupille) ist.
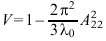
Durch A. schiefer Bündel entsteht eine Wellenaberrationl'(ρ',ϕ')=A22ρ'2cos2ϕ'(A22Nijboer-Zernike-Koeffizient für den A. schiefer Bündel, ρ' und ϕ' normierte, auf den Pupillenradius bezogene Polarkoordinaten in der Austrittspupille), die die Definitionshelligkeit in der mittleren Bildschale auf ![]()
(λ0 Vakuumwellenlänge) absinken läßt. In den Bildlinien ist V noch kleiner. Für beugungsbegrenzte Systeme mit V≥0,8 gilt ![]()
und ![]()
(n' und sinσ' Bildraumbrechzahl und -apertur).
Die Berechnung des A. schiefer Bündel erfolgt mit den Gullstrandschen Abbildungsgleichungen für dünne meridionale und sagittale Strahlenbündel: ![]()
und ![]()
mit ![]()
als schiefer Brechkraft.
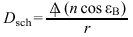
Die meridionalen und sagittalei astigmatischen Schnittweiten sm und ss sind die auf dem unter dem Winkel εB auf die optisch wirksame Fläche einfallenden Hauptstrahl (Blende) gemessenen Abstände der Schnittpunkte der Meridional- bzw. Sagittalstrahlen mit dem Hauptstrahl, d.h. der Brennlinien, von der Fläche ( ![]()
Pichtscher Operator, n Brechzahl, r Flächenradius). Die für den Übergang von einer Fläche zur folgenden erforderliche Hauptstrahllänge zwischen diesen Flächen ist die schiefe Dicke.
Der A. schiefer Bündel läßt sich durch die Blendenlage, Durchbiegung und Einführung dicker Menisken beeinflussen. Er stört durch die unterschiedliche Schärfe meridionaler und sagittaler Bildstrukturen.
2) A. des Auges, nicht rotationssymmetrische Refraktionsanomalie, bei der die Meridiane der Hornhaut, seltener der Augenlinse oder beider gemeinsam, unterschiedliche Krümmungsradien bzw. unterschiedliche Brechwerte aufweisen.
A. irregularis (unregelmäßiger A.) wird meistens durch Hornhauterkrankungen (Geschwüre, Narben, Keratokonus) verursacht. Die Hornhautkrümmung ist an verschiedenen Stellen so unterschiedlich, daß keine Strahlenvereinigung mehr stattfinden kann und auch Brillengläser als Korrektionsmittel ausscheiden. In vielen Fällen ermöglichen aber formstabile Kontaktlinsen eine zufriedenstellende Korrektion, weil der Zwischenraum zwischen der unregelmäßigen Hornhautvorderfläche und der regelmäßigen Kontaktlinsenrückfläche durch Tränenflüssigkeit ausgefüllt wird. Der ursprüngliche astigmatische Fehler reduziert sich aufgrund der Brechzahldifferenz zwischen Hornhaut und Tränenflüssigkeit auf 10,6%.
A. regularis (regulärer A.) ist ein regelmäßiger Brechwertunterschied in den Meridianen (Hauptschnitten) des Auges, der überwiegend durch eine torische Hornhautfläche entsteht. Er ist gut durch Brillengläser oder durch Kontaktlinsen zu korrigieren.
Nach der Richtung der Hauptschnitte unterscheidet man:
A. rectus (A. nach der Regel): der stärker brechende Meridian liegt vertikal;
A. inversus (A. gegen die Regel): der stärker brechende Meridian liegt horizontal;
A. obliquus (schiefer A.): die Hauptschnitte liegen schräg, also bei 45° bzw. 135°.
Nach der Lage der Brennlinien zur Netzhaut unterscheidet man:
A. simplex (einfacher A.): es liegt eine Brennlinie in der Netzhaut, die andere davor (A. simplex myopicus) oder dahinter (A. simplex hyperopicus);
A. compositus (zusammengesetzter A.): beide Hauptschnitte sind im gleichen Sinne fehlsichtig, also beide Brennlinien liegen vor der Netzhaut (A. compositus myopicus) oder hinter der Netzhaut (A. compositus hyperopicus);
A. mixtus (gemischter A.): eine Brennlinie liegt vor und eine hinter der Netzhaut (Abb. 4).
Der Gesamt- oder Totalastigmatismus des Auges ist die Summe des Astigmatismus der Augenlinse und der Hornhaut. Er wird bei der Brillenglasbestimmung durch geeignete Verfahren erfaßt und durch astigmatische Brillengläser korrigiert.
Der Hornhautastigmatismus (äußerer A.), der für die Kontaktlinsenanpassung Bedeutung hat, wird mit dem Keratometer bzw. dem Ophthalmometer gemessen.
Der Augenlinsenastigmatismus (A. internus, innerer A.) wird durch die Bildung der Differenz von Gesamtastigmatismus (z.B. Refraktometerwerte) und Hornhautastigmatismus (Keratometerwerte) ermittelt. Bei sorgfältiger subjektiver Astigmatismusprüfung in der Ferne und in der Nähe lassen sich nicht selten Unterschiede feststellen, die auf eine astigmatische Verformung der Augenlinse bei Nahakkommodation zurückzuführen sind (astigmatische Akkommodation). Im allgemeinen werden aber die astigmatischen Werte (astigmatische Differenz und Achsenlage) von der Fernkorrektion in die Nahkorrektion übernommen.
Nach Shlaer soll es auch einen Netzhautastigmatismus geben, der sich nach Ausschluß von Linsen- und Hornhautastigmatismus in der bevorzugten Wahrnehmung von strichförmigen Testfiguren in bestimmten Richtungen äußert.

Astigmatismus 1: Sturmsches Konoid und die Entstehung der astigmatischen Queraberrationen.



Wenn Sie inhaltliche Anmerkungen zu diesem Artikel haben, können Sie die Redaktion per E-Mail informieren. Wir lesen Ihre Zuschrift, bitten jedoch um Verständnis, dass wir nicht jede beantworten können.