Lexikon der Optik: Beleuchtungsberechnung
Beleuchtungsberechnung, Methodik der Beleuchtungstechnik zum Zweck der Projektierung von Beleuchtungsanlagen für Innenraum- und Außenbeleuchtung. Bei der Planung einer konkreten Beleuchtungsanlage sind folgende Faktoren zu berücksichtigen: Raumabmessungen, Zweck und Nutzungsdauer des Raumes, Art und Anordnung der Arbeitsplätze, Raumgestaltung, Farbe und Reflexionsgrad der Decken, Wände, Fußböden und der Nutzebene, Sehaufgabe, Nennbeleuchtungsstärke, Farbwiedergabe, Körperwiedergabe, Blendungsbegrenzung, Beleuchtungssystem, besondere Gefahrenquellen, Stromversorgung, Wartungszyklen u.ä. Für Außenanlagen ist sinngemäß zu verfahren, wenn man z.B. die Lichtpunkthöhe und den Masttyp festlegt – mit dem grundlegenden Unterschied, daß reflektierende Flächen in der Regel fehlen und die Beleuchtungsstärke mittels des photometrischen Entfernungsgesetzes berechnet werden kann.
Die Berechnung des Beleuchtungsniveaus – zu dessen Kennzeichnung kann die Beleuchtungsstärke oder die Leuchtdichte verwendet werden – liefert Angaben über das zu erwartende Beleuchtungsniveau oder, wenn dieses vorgegeben ist, über die Anzahl der zu installierenden Lampen und Leuchten.
Man unterscheidet im wesentlichen folgende Methoden:
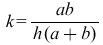
1) Wirkungsgradmethode. Sie berücksichtigt die Mehrfachreflexionen des Lichtes an den Raumbegrenzungsflächen und wird angewendet, wenn diese zu einem großen Anteil indirekten Lichtes an der Beleuchtung führen. Mit ihr läßt sich die mittlere Beleuchtungsstärke auf der Nutzebene berechnen. Vorausgesetzt wird, daß sich die Leuchte in der Raummitte befindet oder die Leuchten gleichmäßig an der Decke verteilt sind und daß die Leuchten- und die Nutzebene parallel zueinander liegen. Der Methode liegt der Zusammenhang φN=ηBφ zwischen dem Gesamtlichtstrom φ der Lampen und dem Lichtstrom φN, der auf die Nutzebene mit der Fläche A fällt, zugrunde, wobei ηB den Beleuchtungswirkungsgrad der Anlage bezeichnet. ηB ergibt sich gemäß der Beziehung ηB=ηLηR aus dem Leuchtenwirkungsgrad ηL, der vom Hersteller angegeben wird, und dem Raumwirkungsgrad ηR, der aus Wirkungsgradtabellen unter Berücksichtigung der Reflexionsgrade der Raumbegrenzungsflächen, dem Lichtstärkeverteilungs- bzw. Leuchtentyp und dem Raumindex k ermittelt wird. Der Raumindex ![]()
drückt die Raumgeometrie aus. Dabei bezeichnen a, b die Seiten der Grundfläche des Raumes und h die Aufhängehöhe der Leuchten über der Nutzebene. Die mittlere Beleuchtungsstärke in der Nutzebene ergibt sich dann zu
EN=ηLηRφ/A.
Nimmt man eine diffuse Reflexion des Lichtes auf der Fläche mit dem Reflexionsgrad ρ an, so berechnet sich die Leuchtdichte zu
L=ENρ/(πΩ0)
(mit Ω0 als Einheit des Raumwinkelelements).
2) Lichtstärkemethoden. Diese Verfahren setzen voraus, daß die Raumbegrenzungsflächen einen geringen Einfluß auf die Beleuchtungsstärke oder die Leuchtdichte in der Nutzebene haben und deshalb nicht berücksichtigt zu werden brauchen.
a) Lichtstärkemethode für punktförmige Lichtquellen. Eine Lichtquelle gilt dann als punktförmig, wenn ihre Ausdehnung klein gegenüber dem Beleuchtungsabstand ist. Dann läßt sich das photometrische Entfernungsgesetz zur Berechnung der horizontalen und vertikalen Beleuchtungsstärken EPh bzw. EPv (d.h. der Beleuchtungsstärken bezüglich einer horizontalen bzw. vertikalen Ebene) in einem Punkt P anwenden mit dem Ergebnis ![]()
,
wobei I(α) die Lichtstärkeverteilung als Funktion des Winkels α (Abb.) bezeichnet.
b) Lichtstärke für linienförmige Lichtquellen. Man denkt sich die linienförmige Lichtquelle in kleine Abschnitt der Länge dl zerlegt und kann dann das photometrische Entfernungsgesetz auf jeden von ihnen anwenden. Die Integration (Summation) über die Beleuchtungsstärkebeiträge der einzelnen Lichtquellenabschnitte führt dann zur horizontalen Gesamtbeleuchtungsstärke im Punkt P.
Die Einflüsse infolge von Alterung, Verschmutzung von Lampen und Leuchten, Lampenausfall und Verschmutzung von Raumbegrenzungsflächen führen zu einer Reduzierung der Beleuchtungsstärke EN in der Nutzebene. Sie müssen in Abhängigkeit von den konkreten Bedingungen berücksichtigt werden. Dies erfolgt durch Einführung von Verminderungsfaktoren v, die für Innenraumbeleuchtung zwischen 0,9 und 0,6 und für Außenbeleuchtungsanlagen zwischen 0,8 und 0,6 angesetzt werden, so daß sich die Projektierungsbeleuchtungsstärke zu E ![]()
=EN/v ergibt.

Beleuchtungsberechnung: Zur Berechnung der Beleuchtungsstärke im Punkt P bei Verwendung einer punktförmigen Lichtquelle L mit der Aufhängehöhe h.
Wenn Sie inhaltliche Anmerkungen zu diesem Artikel haben, können Sie die Redaktion per E-Mail informieren. Wir lesen Ihre Zuschrift, bitten jedoch um Verständnis, dass wir nicht jede beantworten können.