Lexikon der Optik: Bildkonstruktion
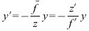
Bildkonstruktion, Listingsche Strahlenkonstruktion, die zeichnerische Ermittlung des Bildes bei der axialsymmetrischen Gaußschen Abbildung. Sie erfolgt auf der Grundlage der aus der Newtonschen Abbildungsgleichung abgeleiteten Relation ![]()
zwischen Objektund Bildhöhe y und y', Objekt- und Bildbrennweite ![]()
und f' sowie Brennpunktsabstand von Objekt und Bild z und z'. Bei der B. wird der bildseitige Hauptebenenschnittpunkt P ![]()
eines Strahls durch zur optischen Achse äquidistante Verschiebung des objektseitigen Hauptebenenschnittpunktes PH bestimmt (Abb. a). Durch Parallelverschiebung der Objektraumverbindungslinie des Brennebenendurchstoßungspunktes ![]()
F mit dem Knotenpunkt K in den Hauptebenenpunkt P ![]()
wird der Verlauf des Bildstrahls ermittelt (Abb. b). Analog wird jeder achsenparallele Strahl in einen Brennpunktsstrahl transformiert und umgekehrt, während die Knotenpunktsstrahlen nur parallel verschoben werden (Abb. c). Die Strahlen der B. sind nur Bildkonstruktionslinien, aber nicht die Lichtstrahlen der optischen Abbildung.

Bildkonstruktion: Listingsche Strahlenkonstruktion der Gaußschen Abbildung. ![]()
und F' Brennpunkte, H und H' Hauptpunkte, ![]()
und f' Objekt- und Bildbrennweite.
Wenn Sie inhaltliche Anmerkungen zu diesem Artikel haben, können Sie die Redaktion per E-Mail informieren. Wir lesen Ihre Zuschrift, bitten jedoch um Verständnis, dass wir nicht jede beantworten können.