Lexikon der Optik: Dispersionsformel
Dispersionsformel, eine mathematische Beziehung, welche die Abhängigkeit des Brechungsindexesn eines Stoffes von der Wellenlänge bzw. der Frequenz der Lichtwelle beschreibt. Die Dispersion heißt normal, wenn n mit wachsender Wellenlänge abnimmt, im entgegengesetzten Falle anomal. Letztere beobachtet man nur in der unmittelbaren Umgebung der Absorptionslinien (Abb.). Eine Lichtwelle induziert an jedem Atom bzw. Molekül des Mediums einen elektrischen Dipol, der mit der Lichtfrequenz schwingt. Die Summe der Dipolmomente in der Volumeneinheit bildet die Polarisation des Mediums. Diese stellt den durch das Medium bedingten Anteil der dielektrischen Verschiebung dar und hat daher eine (im allgemeinen frequenzabhängige) Abweichung der Dielektrizitätskonstanten von ihrem Vakuumwert zur Folge (Maxwellsche Gleichungen). Nach der Maxwellschen Beziehung erhält damit n einen von 1 verschiedenen Wert. Wenn die Lichtfrequenz in der unmittelbaren Nähe einer Eigenfrequenz der Moleküle liegt, schwingen diese am stärksten. In einem solchen schmalen Frequenzbereich findet eine starke Absorption statt. Für den komplexen Brechungsindex![]()
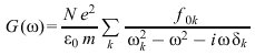
eines gasförmigen Mediums gilt:![]()
(1)
mit
(2)
Dabei bezeichnen ω die Kreisfrequenz des Lichtes, ωk (k=1, 2, ...) die Eigenfrequenzen der Moleküle, e die Ladung und m die Masse des Elektrons, N die Zahl der Moleküle in der Volumeneinheit, f0k die Oszillatorstärke (für Absorption), δk eine Dämpfungskonstante für die k-te Eigenschwingung des Moleküls und ε0 die Dielektrizitätskonstante des Vakuums. (Das vor dem Faktor i gewählte Vorzeichen bezieht sich auf die Zeitabhängigkeit exp(-iωt); elektromagnetische Welle). Im allgemeinen sind die ωk und die f0k experimentell zu bestimmen.
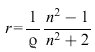
Abgesehen von dem Verhalten des Brechungsindexes in der unmittelbaren Umgebung einer molekularen Eigenfrequenz kann δk gleich Null gesetzt werden. Im Falle eines dichten Mediums wird die am Orte des Moleküls tatsächlich herrschende lokale Feldstärke durch die Dipolmomente der Nachbarmoleküle beeinflußt und unterscheidet sich daher von der des äußeren Feldes. Berücksichtigt man dies, so ist im Falle eines isotropen Mediums die Beziehung (1) zu ersetzen durch:![]()
(3)
(Lorenz-Lorentzsche Formel).
Die Größe
mit ρ als Dichte des Stoffes wird spezifische Refraktion genannt. Multipliziert man sie mit der relativen Molekülmasse M, so erhält man die Molrefraktion R=Mr, die für eine feste Frequenz eine für den betreffenden Stoff charakteristische Konstante (unabhängig von Dichte, Druck, Temperatur sowie Aggregatzustand) darstellt.
Die Molrefraktion R einer Flüssigkeitsmischung setzt sich additiv aus den Molrefraktionen Ri (i=1, 2, ...) der einzelnen Komponenten zusammen:![]()
wobei νi das Verhältnis der Zahl der Moleküle der Sorte i zur Gesamtzahl der Moleküle bedeutet. Eine ähnliche Formel gilt häufig auch für chemische Verbindungen:![]()
Dabei bezeichnen nj (j=1, 2, ...) die Zahl der in einem Molekül gebundenen Atome der Sorte j und Rj=Ajrj mit Aj als Atomgewicht die jeweilige Atomrefraktion der aus dem betreffenden chemischen Element bestehenden Substanz.
Für die Dispersion farbloser Stoffe als Funktion der Wellenlänge λ haben sich je nach Substanz verschiedene Näherungsformeln bewährt, die geeignet anzupassende Konstanten enthalten. Es sind dies unter anderem die Ketteler-Helmholtzsche-D.:
(4)
mit n∞ als Brechungsindex für unendlich lange Wellen,
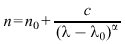
die Hartmannsche D.:![]()
(5)
die für den Spezialfall α=1 Cornusche D. heißt.
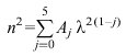
Von den Herstellern optischer Gläser wurde bis vor kurzem die Potenzreihenentwicklung
(6)
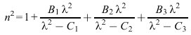
verwendet. Neuerdings benutzt man statt dessen die Formel
(7)
Bei Metallen ist die Dispersion hauptsächlich durch das Mitschwingen der freien Elektronen mit dem Lichtfeld bedingt; es gilt:![]()
(8)
mit Nf als Zahl der freien Elektronen in der Volumeneinheit und δf als Dämpfungskonstante für die Elektronenbewegung (Metalloptik).

Wenn Sie inhaltliche Anmerkungen zu diesem Artikel haben, können Sie die Redaktion per E-Mail informieren. Wir lesen Ihre Zuschrift, bitten jedoch um Verständnis, dass wir nicht jede beantworten können.