Lexikon der Optik: Dispersionsrelation
Dispersionsrelation, in der Optik ein mathematischer Zusammenhang zwischen dem Real- und dem Imaginärteil der komplexen relativen Dielektrizitätskonstanten ![]()
bzw. des – vermöge der Maxwellschen Beziehung ![]()
damit zusammenhängenden – komplexen Brechungsindexes![]()
. Dabei bezeichnen ω die Kreisfrequenz der Strahlung, μr die relative Permeabilität und Κ' den Absorptionsindex.
D. leiten sich aus der Tatsache ab, daß die von einer einfallenden Welle in einem Medium zu einer bestimmten Zeit erzeugte Polarisation (die Summe der in der Volumeneinheit befindlichen induzierten atomaren Dipolmomente) an jedem Ort aus Kausalitätsgründen nur von früheren, nicht aber von späteren Werten der dort herrschenden elektrischen Feldstärke abhängen kann.
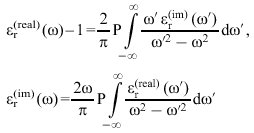
H. A. Kramers und R. Kronig fanden 1927 als erste D. in der Form
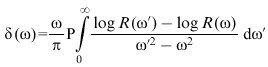
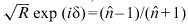
(Kramers-Kronig-Relationen). Dabei bedeutet das Symbol P den Hauptwert des Integrals. D. erweisen sich als nützlich bei der Bestimmung der optischen Konstanten n und Κ' stark absorbierender Materialien, da in solchen Fällen eine direkte Messung von Κ' kaum möglich ist. Praktisch geht man so vor, daß man ![]()
aus der Beziehung ![]()
ermittelt, wobei R den Reflexionsgrad bei senkrechtem Lichteinfall und δ den bei der Reflexion auftretenden Phasensprung bedeuten. Letzterer kann mit Hilfe der D.
durch Messung von R über einen größeren Spektralbereich, ergänzt durch Extrapolationen, bestimmt werden, so daß man mit Messungen des Reflexionsgrades allein auskommt. Das geschilderte Verfahren wird als Kramers-Kronig-Analyse bezeichnet.
Wenn Sie inhaltliche Anmerkungen zu diesem Artikel haben, können Sie die Redaktion per E-Mail informieren. Wir lesen Ihre Zuschrift, bitten jedoch um Verständnis, dass wir nicht jede beantworten können.