Lexikon der Optik: Ellipsometrie
Ellipsometrie, Messung des elliptisch polarisierten Lichtes, das aus linear polarisiertem Licht nach der Reflexion an einer Oberfläche entsteht. Transmissionsellipsometrie ist ebenfalls möglich, wird aber seltener angewendet. Die auf die Probe unter dem Einfallswinkel ϕ zulaufende linear polarisierte Lichtwelle kann man sich in je eine Komponente senkrecht (y) und parallel (x) zur Einfallsebene zerlegt denken. Beide Komponenten werden an der Probe unterschiedlich stark reflektiert, und es treten außerdem Phasensprünge δx bzw. δy auf.
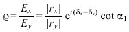
Das komplexe Amplitudenverhältnis nach der Reflexion lautet dann![]()
(1)
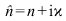
Hier wurden die komplexen Reflexionskoeffizienten in der Form rx=|rx|exp(iδx), ry=|ry| × exp(iδy) geschrieben und das Schwingungsazimut der einlaufenden linear polarisierten Welle mit α1 bezeichnet (Abb. 1). Gl. (1) macht deutlich, daß das reflektierte Licht elliptisch polarisiert ist, und zwar gilt im Falle der üblicherweise verwendeten Polarisatoreinstellung α1=45° für die ellipsometrischen Parameter ψ und Δ (Polarisation 1)) tanψ=|rx|/|ry| sowie Δ=δx-δy.
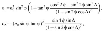
Aus den mit Hilfe von Ellipsometern gemessenen Werten der ellipsometrischen Parameter ψ und Δ (oder der ihnen äquivalenten Größen) können die optischen Konstanten der Oberfläche berechnet werden, wenn ein geeignetes Modell der Oberfläche zugrunde gelegt wird. Nur im Falle der isotropen und schichtfreien Oberfläche ist die Berechnung der komplexen Dielektrizitätskonstanten und damit der optischen Konstanten n (reeller Brechungsindex) und Κ (spektrale Absorptionszahl) in mathematisch geschlossener Form nach den Beziehungen der Metalloptik möglich. Bei allen anderen Oberflächenmodellen (beschichtete und/oder anisotrope Oberfläche) ist die Anwendung von Näherungsverfahren erforderlich. Im Falle einer isotropen Oberfläche gilt für Real- und Imaginärteil der komplexen relativen Dielektrizitätskonstanten ![]()

(2)
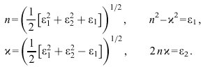
wobei n0 den Brechungsindex des vorgelagerten Mediums bezeichnet. Wegen des Zusammenhanges zwischen ![]()
r und dem komplexen Brechungsindex ![]()
(Metalloptik) folgt daraus für den (reellen) Brechungsindex n und die spektrale Absorptionszahl Κ
(3)
Wird in der ellipsometrischen Reflexionsanordnung ein Vormedium mit n0>1 verwendet, so ergibt sich für einen Einfallswinkel ϕ≥ϕT, wobei ϕT=arcsin (n/n0) den Grenzwinkel der Totalreflexion bezeichnet, der Spezialfall der ATR-Ellipsometrie. Bei einer ATR-ellipsometrischen Messung können, wenn der Brechungsindex der Probe mit der Wellenzahl variiert, Wellenzahlgebiete mit Total- und normaler Reflexion einander abwechseln, ohne daß die Auswertung dadurch gestört wird. Die Größen n und Κ können als absolute Werte bestimmt werden.
Ein breites Anwendungsgebiet der E. ist die Messung von Schichten auf Substraten, was besonders für die Halbleiterphysik und die analytische Chemie von Bedeutung ist. Elliptisch polarisiertes Licht entsteht auch bei Vielfachreflexionen in der Schicht (Abb. 2). Die Reflexionskoeffizienten für die Schicht sind (unter Zugrundelegung der Zeitabhängigkeit exp(-iωt) für die komplexe elektrische Feldstärke) gegeben durch![]()
(4)
Hier beziehen sich die Indizes 1, 2 auf die erste bzw. zweite Grenzfläche, und es gilt z = 4πσdn1cosϕ1, wobei d die geometrische Dicke der Schicht, n1 ihren (komplexen) Brechungsindex, ϕ1 den Einfallswinkel für die zweite Grenzfläche und σ die Wellenzahl bedeuten.
Den Brechungsindex und die Dicke der Schicht berechnet man aus den ellipsometrischen Parametern ψ und Δ durch geeignete Näherungsverfahren. Die Absorption läßt sich ebenfalls erfassen, wenn es Spektralbereiche gibt, in denen der Film nicht absorbiert, oder Messungen bei verschiedenen Einfallswinkeln vorgenommen werden. Es können mit der E. monoatomare bzw. -molekulare Schichten nachgewiesen werden, insbesondere bei Anwendung der sehr genauen Nullmethoden (Ellipsometer).

Ellipsometrie 1: Reflexion linear polarisierten Lichtes.![]()
Komponenten der elektrischen Feldstärke der einfallenden Welle; rx, ry komplexe Reflexionskoeffizienten.

Ellipsometrie 2: Vielfachreflexion in einer Schicht. n0, n1, n2 Brechungsindizes; r1x, r1y und r2x, r2y Reflexionskoeffizienten für die Grenzflächen.
Wenn Sie inhaltliche Anmerkungen zu diesem Artikel haben, können Sie die Redaktion per E-Mail informieren. Wir lesen Ihre Zuschrift, bitten jedoch um Verständnis, dass wir nicht jede beantworten können.