Lexikon der Optik: Erzmikroskopie
Erzmikroskopie, Spezialgebiet der Polarisationsmikroskopie mit auffallendem Licht zur Diagnose von Erzmineralien. Die meisten Erzmineralien sind in der beherrschbaren Dünnschliffdicke (Dünnschliff) von etwa 25 μm für sichtbares Licht undurchlässig und werden daher in Form von polierten Anschliffen untersucht. Im Erzmikroskop wird analog zum Durchlicht-Polarisationsmikroskop mit einem Polar oder mit gekreuzten Polaren gearbeitet.
Anisotrope Objekte zeigen beim Drehen gegen die Schwingungsrichtung des einfallenden linear polarisierten Lichtbündels eine Intensitäts- oder Farbänderung, da sich das Relexionsvermögen solcher Objekte in Abhängigkeit vom Polarisationsazimut zwischen den zwei Extremwerten
ändert. Dabei bezeichnen n1 und n2 die Extremwerte der Brechzahl des anisotropen Mediums, Κ1 und Κ2 die zugehörigen spektralen Absorptionszahlen; n0 ist die Brechzahl des angrenzenden Mediums. Die Größen R1 und R2 werden uniradiale Reflexionen, ihre Differenz Bireflexion genannt.
Das in der E. häufigste Diagnoseverfahren beruht auf der Messung der uniradialen Reflexionen, auch in Abhängigkeit von der Wellenlänge des beleuchtenden Lichtes, und des Mikroeindruckhärtewertes HV für eine Prüfkraft von 0,981 N. Die Werte für die wichtigsten Mineralien sind im Bowie-Taylor-Diagramm aufgeführt.
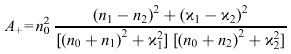
Die zwischen gekreuzten Polaren zu beobachtenden Anisotropieeffekte werden zu einer qualitativen Diagnose genutzt. Der maximale Unterschied der Helligkeiten (im Sinne des Verhältnisses von reflektierter zu einfallender Lichtintensität), der beim Drehen einer anisotropen Probe unter gekreuzten Polaren im Erzmikroskop zu beobachten ist, berechnet sich nach Berek zu
Die Aufhellung ist unabhängig von der Wellenlänge des Lichtes. Sie wird aber durch die Dispersion der n- und Κ-Werte so beeinflußt, daß zwischen gekreuzten Polaren stoffspezifische Farberscheinungen beobachtet, Erzmineralien damit oft anhand des Helligkeitsunterschiedes und der Farbe diagnostiziert werden können.
Wenn Sie inhaltliche Anmerkungen zu diesem Artikel haben, können Sie die Redaktion per E-Mail informieren. Wir lesen Ihre Zuschrift, bitten jedoch um Verständnis, dass wir nicht jede beantworten können.