Lexikon der Optik: Fabry-Perot-Interferometer
Fabry-Perot-Interferometer, 1) Fabry-Perot-Etalon, Fabry-Perot-Interferenzspektroskop, Luftplattenspektroskop, ein als Etalon dienendes Interferenzspektroskop, das die mit Hilfe einer planparallelen Luftplatte erzeugten Interferenzen benutzt. Es besteht aus zwei eben geschliffenen, schwach keilförmigen Glas- oder Quarzplatten P1 und P2, deren einander zugekehrte Flächen S1 und S2 durchlässig verspiegelt sind (Abb.). Diese werden so justiert, daß sie genau parallel sind. Das auf das F. fallende Licht wird in der zwischen den Platten planparallelen Luftschicht der Dicke d z.T. mehrfach hin und her reflektiert, ehe es aus P2 wieder austritt. Durch das Zusammenwirken dieser zahlreichen Strahlenbündel, für die der Gangunterschied von Bündel zu Bündel um gleiche Beträge fortschreitet, entstehen bei Einstrahlung von monochromatischem Licht in einem endlichen Winkelbereich in der Brennebene einer vorgeschalteten Sammellinse überaus scharfe Interferenzmaxima hoher Ordnung, die bei durchfallendem Licht als helle Kreise auf dunklem Grund erscheinen (Haidingersche Ringe). Sie können in der Brennebene photographiert werden. Aus der Theorie folgt, daß die hellen Zonen eines solchen Ringes sehr scharf sind im Vergleich zu den dunklen Ringen, und daß die Ringe mit zunehmendem Reflexionsvermögen der Spiegelflächen schärfer werden (Vielstrahlinterferenz). Der Gangunterschied zwischen benachbarten Teilstrahlen beträgt bei einer Platte mit dem Brechungsindex n und der Dicke d (für Luft ist n=1 zu setzen) Δs = ![]()
+ ![]()
– ![]()
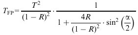
= 2ndcosΘ', wobei Θ' den Reflexionswinkel bezeichnet (Abb.).Dem entspricht eine Phasendifferenz α=4πndcosΘ'/λ0 mit λ0 als Vakuumwellenlänge des Lichtes. Maximale Durchlässigkeit des F. liegt vor, wenn α=2πm gilt, wobei m eine ganze Zahl bedeutet, die als Ordnung der Interferenz bezeichnet wird. Allgemein ist das Transmissionsvermögen TFP des F. (das Verhältnis von durchgelassener zu einfallender Intensität) gegeben durch die Airy-Formel
.
Dabei bezeichnet R das Reflexionsvermögen der Spiegel und T deren Transmissionsvermögen, das im Falle von absorbierendem Spiegelmaterial kleiner als 1-R ist. Das Auflösungsvermögen des F. ist gegeben durch λ/δλ=0,97mF, wobei ![]()
die Finesse bezeichnet. Je nach Ausführung des F. kann F Werte zwischen 30 und 300 annehmen. Für sichtbares Licht liegt m bei 105. Für das Dispersionsgebiet Δλ folgt dann Δλ=λ/m und für die Änderung der Wellenlänge des austretenden Lichtes mit dem Austrittswinkel Θ∂λ/∂Θ=2dΘ/m. Der Winkelunterschied zweier benachbarter Ordnungen, der Ordnungsabstand, ist ΔΘ=λ/2dΘ.
Als Verspiegelungsmaterialien werden Silber für das langwellige Spektralgebiet und Aluminium für das kürzerwellige benutzt. Heute verwendet man meist dielektrische Vielfachschichten, mit denen man ein größeres Reflexionsvermögen bei besserer Durchlässigkeit der Schichten erreicht.
Mit dem beschriebenen Interferometer ist es möglich, sich dem jeweils vorhandenen Problem anzupassen, da man Verspiegelungen und Etalondicke verändern kann.
2) nichtlineares Fabry-Perot-Interferometer, optische Bistabilität.

Fabry-Perot-Interferometer: Strahlengang (Erläuterung im Text).
Wenn Sie inhaltliche Anmerkungen zu diesem Artikel haben, können Sie die Redaktion per E-Mail informieren. Wir lesen Ihre Zuschrift, bitten jedoch um Verständnis, dass wir nicht jede beantworten können.