Lexikon der Optik: Gaußsche Bündel
Gaußsche Bündel, inhomogene Strahlenbündel, deren zur Ausbreitungsrichtung z orthogonaler Intensitätsverlauf
an jeder Stelle z einer Gaußschen Glockenkurve entspricht. G. B. bilden sich im Einmodenbetrieb des Lasers in konfokalen Laserresonatoren, bestehend aus 2 Kugelspiegeln mit gemeinsamem Brennpunkt, infolge Mehrfachreflexion und Beugung an den Spiegelrändern aus. Der Bündelradius
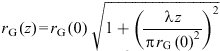
, bei dem die Intensität auf das e-2-fache absinkt, variiert ebenso wie der Radius ![]()
der inhomogenen Wellenflächen, zu denen die gekrümmten, nicht der geometrischen Optik gehorchenden Lichtstrahlen orthogonal sind, mit dem Abstand z von der als Taille bezeichneten engsten Bündeleinschnürung ![]()
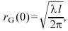
, die von der Wellenlänge λ und der Resonatorlänge l abhängt (Abb.). Die Bündeldivergenz ist ![]()
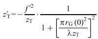
. Die paraxiale Abbildung der Taille durch ein optisches System der Brennweite f' entspricht nicht einer Gaußschen Abbildung. Es gelten für die Verknüpfung der bild- und objektseitigen Taillenabstände z'T und zT von den Brennebenen die modifizierte Newtonsche Abbildungsgleichung
und für den Abbildungsmaßstab
Entsprechend wird eine Taille aus der objektseitigen in die bildseitige Brennebene und nicht ins Unendliche abgebildet.

Gaußsche Bündel: Gaußsches Strahlenbündel eines konfokalen Resonators (links) bei Abbildung durch eine Linse mit Intensitätsvereilung in der abgebildeten Taille (rechts). rG Bündelradius; R, R' Radius der Wellenflächen, I Intensität.
Wenn Sie inhaltliche Anmerkungen zu diesem Artikel haben, können Sie die Redaktion per E-Mail informieren. Wir lesen Ihre Zuschrift, bitten jedoch um Verständnis, dass wir nicht jede beantworten können.