Lexikon der Optik: Interferenz
Interferenz, die Erscheinung, daß die Intensität eines durch Überlagerung von zwei oder mehr Wellen gleicher Frequenz entstandenen Lichtfeldes sich räumlich periodisch ändert. Dabei ist die Intensität in den Maxima größer und in den Minima kleiner als die Summe der Intensitäten der einzelnen Wellen. Die Minima können unter geeigneten experimentellen Bedingungen bis auf Null heruntergehen. Die Intensitätsverteilung, die visuell beobachtet oder photographisch bzw. photoelektrisch registriert werden kann, wird Interferenzbild oder -muster genannt. Dessen Sichtbarkeit ist durch das Verhältnis![]()
(1)
definiert, wobei Imax den maximalen und Imin den minimalen Wert der Intensität im Interferenzbilde bezeichnen.
Voraussetzung für das Auftreten von I. ist, daß die sich überlagernden Wellen entweder jede für sich während der Beobachtungszeit eine konstante Phase besitzen oder aber solche Phasenfluktionen zeigen, die nicht statistisch unabhängig voneinander, sondern korreliert sind. Das Auftreten von Korrelationen (Korrelationsfunktionen des Strahlungsfeldes) bedeutet, daß die Schwankungen in der einen Welle ein mehr oder weniger getreues Abbild der Schwankungen in der anderen Welle sind. Der erste Fall läßt sich mit Einmodenlasern verwirklichen. Der zweite Fall ist der in der Optik übliche.
Konventionelle Interferenzexperimente. Man arbeitet mit thermischem Licht oder auch mit Laserlicht. Die erforderlichen Korrelationen kommen dadurch zustande, daß die miteinander interferierenden Wellen aus ein und demselben Primärstrahl durch Teilung erzeugt werden. Dagegen ist Licht von unterschiedlichen thermischen Quellen (oder von weiter entfernten Bereichen ein und derselben thermischen Quelle) nicht interferenzfähig. Das gleiche gilt für Licht unterschiedlicher Polarisation, auch wenn es vom gleichen Orte der thermischen Quelle stammt.
Die Strahlteilung kann entweder als Wellenfront- oder als Amplitudenteilung erfolgen. Insbesondere mit dem letzteren Verfahren lassen sich selbst bei Verwendung ausgedehnter thermischer Lichtquellen wie z.B. Glühlampen oder Gasentladungsröhren lichtstarke Interferenzerscheinungen erzeugen. Je nach Anzahl der beteiligten Teilwellen unterscheidet man zwischen Zweistrahlinterferenz und Vielstrahlinterferenz.
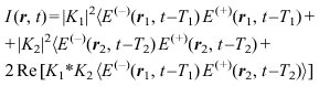
Das Interferenzphänomen beruht darauf, daß sich bei Überlagerung verschiedener Wellen die jeweiligen elektrischen Feldstärken addieren. Dieses Superpositionsprinzip ist eine direkte Folge der Linearität der Maxwellschen Gleichungen. Gemessen wird die Intensität, d.h. – von einem konstanten Faktor abgesehen – der zeitliche Mittelwert 〈E(r, t)2〉 des Quadrats der elektrischen Feldstärke E(r, t) des Gesamtfeldes. Die Mittelung erstreckt sich dabei über viele Lichtperioden. Unter Verwendung der komplexen Schreibweise gilt![]()
(2)
(Korrelationsfunktionen des Strahlungsfeldes). Es ist daher zweckmäßig, die Größe 〈E(-)(r,t) E(+)(r,t)〉 als Maß für die Intensität zu verwenden.
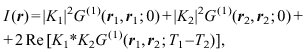
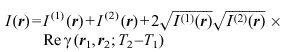
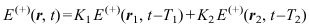
Zur mathematischen Beschreibung der I. werden der Youngsche Interferenzversuch betrachtet (Abb. 1), mit dem Th. Young (1773-1829) erstmals die Wellennatur des Lichtes überzeugend nachwies. Von einer Lichtquelle ausgesandtes Licht falle auf einen undurchsichtigen Schirm, der an den Stellen r1 und r2 zwei kleine kreisrunde Öffnungen aufweist, die unterschiedlich groß sein können. Die von den Öffnungen ausgehenden Wellen erzeugen auf dem Beobachtungsschirme (in der Nähe des Zentrums P, in dem die in der Mitte der Verbindungslinie der beiden Löcher errichtete Normale den Beobachtungsschirm trifft) ein Interferenzbild in Gestalt von äquidistanten, abwechselnd hellen und dunklen Streifen. Der Einfachheit halber werde das Licht als linear polarisiert angenommen. (Bei unpolarisiertem Lichte addieren sich einfach die den beiden Polarisationsrichtungen entsprechenden Intensitäten.) Die elektrische Feldstärke in einem Punkte r auf dem Beobachtungsschirme setzt sich aus den Beiträgen der beiden Löcher gemäß der Gleichung![]()
(3)
zusammen. Dabei bezeichnen K1 und K2 von der Lochgröße und vom Abstande |r-r1|bzw.|r-r2| abhängige Faktoren, die berücksichtigen, daß zwischen Primär- und Sekundärwelle jeweils ein Phasensprung von π auftritt. Sie sind daher rein imaginär. Unter T1 und T2 sind die Laufzeiten des Lichtes von der jeweiligen Öffnung zum Beobachtungsort zu verstehen. Sie sind gegeben durch T1=|r-r1|/c und T2=|r-r2|/c, wobei c die Lichtgeschwindigkeit bezeichnet, und somit allein durch die Geometrie bestimmt.
Aus (3) folgt dann für die Intensität auf dem Beobachtungsschirme
(4)
oder, stationäre Verhältnisse vorausgesetzt,
, (5)
wobei G(1) die Korrelationsfunktion 1. Ordnung des Strahlungsfeldes bezeichnet.
Auf der rechten Seite von (4) und (5) haben die ersten beiden Summanden die Bedeutung der Intensitäten I(1)(r) bzw. I2(r) der beiden Teilwellen am Orte r (sie sind einzeln so zu messen, daß man jeweils eine der beiden Öffnungen abdeckt), während der dritte Summand für die Interferenzerscheinungen verantwortlich ist und daher Interferenzterm genannt wird. Es ist zweckmäßig, (5) folgendermaßen umzuschreiben
(6)
mit
(7)
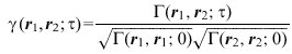
als normierter Korrelationsfunktion 1. Ordnung. Aus historischen Gründen ist es in der Optik üblich, zur Beschreibung von Korrelationen nicht G(1), sondern die Funktion
(8)
zu verwenden. An Stelle von (6) wird daher geschrieben
(9)
mit
(10)
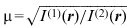
Der Interferenzterm wird also wesentlich durch die Funktion γ(r1,r2;τ) – mit τ=T2-T1 als dem durch c dividierten Gangunterschied Δs=|r-r2|-|r-r1| der beiden interferierenden Teilwellen am Orte r – bestimmt. γ(r1,r2;τ) wird deshalb komplexer Kohärenzgrad der um τ gegeneinander verzögerten Lichtschwingungen an den Orten r1 und r2 genannt, während die unnormierte Funktion Γ(r1,r2;τ) wechselseitige Kohärenzfunktion heißt.
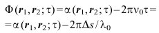
Zerlegt man γ(r1,r2;τ) in seinen Betrag und einen Phasenfaktor exp(iΦ(r1,r2;τ), so lautet der Interferenzterm 2|γ(r1,r2;τ)|cosΦ(r1,r2;τ). Im Gegensatz zu |γ(r1,r2;τ)| hängt die Phase Φ(r1,r2;τ) sehr stark von τ ab. Da sie sich bei Verschiebung des Beobachtungspunktes auf dem Beobachtungsschirme in sehr guter Näherung linear mit der Koordinate z in Abb. 1 ändert (s.u.), beschreibt der Kosinusfaktor das zu beobachtende System der Interferenzstreifen. Die Phase Φ(r1,r2;τ) kann in der Form![]()
(11)
geschrieben werden, wobei ν0 die Mittenfrequenz der Strahlung und λ0 die zugehörige Wellenlänge bezeichnen. Der Gangunterschied Δs, und damit auch die Verzögerungszeit τ, sind bei hinreichend weit entferntem Beobachtungsschirme proportional zur Koordinate z in Abb. 1. Der Anteil α(r1,r2;τ) der Phase hängt im Vergleich zu dem zweiten Term nur sehr schwach von τ ab. Aus (11) folgt daher, daß sich der Gangunterschied von einem Maximum der Intensität zum folgenden Minimum um λ0/2 ändert, und zum nächsten Maximum um λ0.
Wesentlich ist, daß die Phase Φ(r1,r2;τ) von der Zeit t nicht abhängt und die Beobachtung daher bei vorausgesetzter stationärer Einstrahlung beliebig lange ausgedehnt werden kann. Der Betrag von γ(r1,r2;τ) fällt mit wachsendem |τ| langsam ab, und das gleiche gilt bei Verwendung einer räumlich ausgedehnten Lichtquelle für den Fall, daß die Öffnungen r1 und r2 immer weiter auseinanderrücken. Das führt in beiden Fällen dazu, daß sich die Sichtbarkeit des Interferenzbildes verschlechtert. Damit I. noch beobachtet werden können, müssen |τ| kleiner als die Kohärenzzeit und |r2-r1| kleiner als das Kohärenzintervall sein.
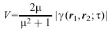
Aus (1) und (9) ergibt sich für die Sichtbarkeit![]()
(12)
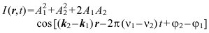
mit der Abkürzung ![]()
. Für den häufig anzutreffenden Fall gleicher Intensitäten der beiden interferierenden Wellen (I(1)(r) = I(2)(r)) ist also die Sichtbarkeit direkt gleich |γ(r1,r2;τ)|.
Da Kohärenz gleichbedeutend mit Interferenzfähigkeit ist, wird die Größe |γ(r1,r2;τ)|, die generell die Ungleichung 0≤|γ(r1,r2;τ)|≤1 erfüllt, Kohärenzgrad der um τ zeitlich verzögerten Lichtschwingungen an den Ortenr1undr2 genannt.
Liegt vollständige Kohärenz vor (|γ|=1), so beträgt nach (12) die Sichtbarkeit selbst bei einem Intensitätsverhältnis von 1:100 noch etwa 20% und liegt damit noch beträchtlich über der Sichtbarkeitsgrenze von 5%. Bemerkenswert ist, daß nach (12) die Sichtbarkeit des Interferenzbildes nur von den relativen Intensitäten der interferierenden Wellen abhängt. Diese Aussage bleibt auch in der quantenmechanischen Beschreibung voll gültig. Damit ist es möglich, I. auch bei beliebig kleinen Intensitäten zu beobachten. Die Photoplatte muß dabei natürlich entsprechend lange belichtet werden. (Bei einem 1909 von G. I. Taylor durchgeführten Experimente erstreckte sich die Belichtungszeit bis zu 3 Monaten!)
I. treten im besonderen auch dann noch auf, wenn sich in der Apparatur zu jeder Zeit im Mittel eine geringere Energie als die eines Photons befindet. Man ist daher berechtigt zu sagen, daß ein Photon "mit sich selbst interferiert" (P. A. M. Dirac 1930).
Wichtige meßtechnische Anwendungen findet die I. in Interferometern.
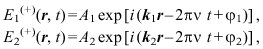
I. zwischen unabhängigen Lichtwellen. Solche Experimente sind mit Laserlicht durchführbar. Laserwellen können während der Kohärenzzeit als laufende ebene Wellen mit scharfer Amplitude A und Phase ϕ angesehen werden. Überlagert man von zwei unabhängigen Lasern emittierte Wellen mit den elektrischen Feldstärken![]()
(13)
so gilt bei Beschränkung der Beobachtungszeit (Belichtung der Photoplatte) auf einen Wert, der kleiner als die Kohärenzzeit ist, für die Intensität des Überlagerungsfeldes
(14)
Es tritt also ein Interferenzbild auf, dessen Lage von der Phasendifferenz Δϕ=ϕ2-ϕ1 abhängt. Ändert sich Δϕ, so verschiebt sich das Interferenzmuster. Tatsächlich fluktuieren ϕ1 und ϕ2, und damit auch Δϕ, regellos in Zeiten, die groß im Vergleich zur Kohärenzzeit sind, was zum Verschwinden des Interferenzbildes bei entsprechend langer Belichtung führt.
Die oben genannte Beschränkung der Beobachtungszeit ist daher notwendig. Damit in dieser kurzen Zeit auf der Photoplatte tatsächlich ein Schwärzungsmuster entstehen kann, muß während der Belichtungszeit eine große Zahl von Photonen auf die Platte treffen. (Ein Photon kann ja bestenfalls einen einzigen Schwärzungspunkt erzeugen!) Diese Bedingung läßt sich leicht mit Lasern, nicht aber mit thermischen Lichtquellen erfüllen.
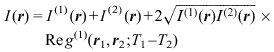
I. zwischen zwei unabhängigen Laserstrahlen wurden erstmals 1963 von G. Magyar und L. Mandel unter Verwendung von zwei im Pulsbetrieb arbeitenden Rubinlasern nachgewiesen. Das Licht der beiden Laser fiel auf einen Bildwandler (Abb. 2), der nur dann kurzzeitig elektronisch aufgetastet wurde, wenn beide Laser (zufällig) gleichzeitig einen Impuls emittierten.
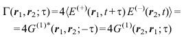
1971 gelang es W. Radloff, I. auch zwischen zwei stark geschwächten Laserstrahlen nachzuweisen. Die oben genannte Einschränkung der Belichtungszeit konnte dadurch überwunden werden, daß ein elektronischer Verschluß das Licht immer nur dann auf die Photoplatte fallen ließ, wenn Δϕ einen vorgegebenen festen Wert besaß (Ab. 3). Die Steuerung dieses Verschlusses machte Gebrauch davon, daß die beiden Laserstrahlen, nachdem die für das Interferenzexperiment benötigten intensitätsschwachen Bündel durch Strahlteiler abgetrennt worden waren, wegen ihrer hohen Intensität ein Interferenzmuster erzeugten, dessen Lage den Schwankungen von Δϕ folgte. Jedesmal, wenn (zufällig) eine vorgeschriebene Lage angenommen wurde, wurde der Verschluß geöffnet. Der mittlere Photostrom in den abgetrennten und durch einen Absorber stark geschwächten Bündeln betrug jeweils 105 Photonen/s. Die Öffnungszeit des Verschlusses variierte zwischen 10-4 und 10-5 s, so daß also jedesmal nur einige wenige Photonen auf die Photoplatte gelangten. Nichtsdestoweniger konnte bei einer Meßdauer von 30 Minuten ein sehr gut sichtbares Interferenzbild photographisch registriert werden. Damit wurde gezeigt, daß auch wenige unabhängig voneinander erzeugte Photonen miteinander interferieren können.
Schwebungen. Zu den Interferenzerscheinungen sind auch solche Vorgänge zu rechnen, bei denen sich die Intensität der Strahlung an einem festen Orte zeitlich periodisch ändert. Man spricht dann von Schwebungen. Sie lassen sich mit Lasern wenig verschiedener Frequenz sehr gut verwirklichen. Verallgemeinert man (13) auf den Fall zweier unterschiedlicher Frequenzen ν1 bzw. ν2, so tritt an die Stelle von (14) die Beziehung![]()
(15)
Die Beobachtung erfolgt mit einem Photodetektor. Dessen Photostrom enthält, da er proportional zu der auf seiner Oberfläche herrschenden momentanen Intensität ist, nach (15) neben einem Gleichstromanteil einen mit der Differenzfrequenz |ν2-ν1| oszillierenden Anteil, der das Schwebungssignal darstellt. Mit diesem Heterodyn-Strahlungsnachweis (optischer Überlagerungsempfang) können gerade sehr kleine Frequenzunterschiede sehr präzise bestimmt werden. Außerdem kann man ein schwaches Signal einer Quelle durch Überlagerung mit dem Signal eines lokalen Oszillators leicht in einen detektierbaren Intensitätsbereich anheben, da der Kontrast nur von der Wurzel des Intensitätsverhältnisses abhängt.
Geschichtliches. Das Youngsche Interferenzexperiment lieferte erstmalig einen schlüssigen Beweis für die Wellennatur des Lichtes. Da der Beobachtungsschirm gleichmäßig hell ist, wenn man eine der beiden Öffnungen abdeckt, jedoch dunkle Streifen auftreten, wenn Licht von beiden Öffnungen auf den Schirm fällt, gelangt man zu der Feststellung, daß Licht + Licht Dunkelheit ergeben kann. Dies ist mit der Newtonschen Vorstellung von Lichtteilchen unvereinbar. Im Wellenbilde dagegen können sich die von zwei Zentren ausgehenden Erregungen, da diese sowohl positive als auch negative Werte annehmen, an gewissen Stellen gegenseitig aufheben, wie man sehr schön an Wasserwellen erkennt.



Wenn Sie inhaltliche Anmerkungen zu diesem Artikel haben, können Sie die Redaktion per E-Mail informieren. Wir lesen Ihre Zuschrift, bitten jedoch um Verständnis, dass wir nicht jede beantworten können.