Lexikon der Optik: Kohärenzmatrix
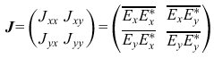
Kohärenzmatrix, eine Hermitesche 2×2-Matrix, die zur Beschreibung der Polarisationseigenschaften von quasi-monochromatischem Licht dient. Sie ist für eine ebene Welle definiert durch
. (1)
Dabei bezeichnen Ex und Ey die komplexen Amplituden der Komponenten der elektrischen Feldstärke in den beiden zur Ausbreitungsrichtung der Welle senkrechten Richtungen x und y, und der Querstrich bedeutet Mittelung über eine Zeit, die groß im Vergleich zur Kohärenzzeit ist. Die Intensität I des Lichtes ergibt sich aus der K. durch Spurbildung:![]()
(2)
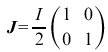
Die K. beschreibt allgemein partiell polarisiertes Licht. Speziell für unpolarisiertes Licht lautet sie
.
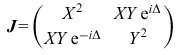
In dem Idealfalle streng monochromatischen Lichtes liegt vollständige Polarisation vor. Die reellen Amplituden X, Y sowie die Phasen δx, δy der beiden Feldstärkekomponenten sind dann zeitunabhängig, so daß die Mittelung entfällt. Mit Ex= Xexp(iδx), Ey=Yexp(iδy) und Δ=δx-δy nimmt die K. dann die folgende Form an
(3)
Speziell für unter 45° bzw. 135° gegen die x-Richtung linear polarisiertes Licht gilt
, (4)
und für rechts bzw. links zirkular polarisiertes Licht
. (5)
Ein allgemeines Kriterium für das Vorliegen von vollständiger Polarisation ist das Verschwinden der Determinante der K. Die Änderung der K. bei Durchgang des Lichtes durch ein optisches System wird durch die Jones-Matrix beschrieben.
Wenn Sie inhaltliche Anmerkungen zu diesem Artikel haben, können Sie die Redaktion per E-Mail informieren. Wir lesen Ihre Zuschrift, bitten jedoch um Verständnis, dass wir nicht jede beantworten können.