Lexikon der Optik: Koma
Koma, im allgemeinen mit sphärischer Aberration und Astigmatismus überlagerte, in der Näherung 3. Ordnung der Objekt- und dem Quadrat der Pupillenhöhe hB proportionale Aberration bei der Abbildung außeraxialer Dingpunkte durch Strahlenbündel mit großem Öffnungswinkel. Dabei entsteht eine unsymmetrische kometenartige Zerstreuungsfigur, deren Schweif bei Außen- bzw. Innenkoma von der optischen Achse weg- bzw. zu ihr hinweist, und eine entsprechende Punktbildverwaschungsfunktion mit nur noch teilweise ausgebildeten Beugungsringen. Bei reiner K. schneiden sich die jeweils um 180° gegeneinander versetzten Strahlen aus einer Pupillenzone in der Gaußschen Bildebene in einem Kreis, dessen in der Näherung 3. Ordnung h2B proportionaler Durchmesser der Versetzung seines Mittelpunktes gegenüber dem Hauptstrahl entspricht und 2/3 der auf den Hauptstrahl bezogenen meridionalen Queraberration (Querkoma) Δy'm beträgt (Abb. 1). Durch die vom Symmetrieverlust der Komafigur abhängige Verschiebung des geometrischen Schwerpunktes der Komafigur um (Δy'm)max/3 bzw. des Intensitätsmaximums um 2(Δy'm)max/9 gegen den Hauptstrahldurchstoßungspunkt entsteht eine entsprechende zusätzliche geometrisch-optische bzw. wellenoptische Verzeichnung. Dabei bedeutet (Δy'm)max die maximale Querkoma.
Die K. ist abhängig von der Blendenlage und verschwindet näherungsweise bei der natürlichen Blende, die unter anderem bei blendensymmetrischen optischen Systemen für den Abbildungsmaßstab β'=-1 vorliegt. In der Umgebung der optischen Achse verschwindet die K. bei Erfüllung der Isoplanasiebedingung (Isoplanasie) bzw. bei behobener sphärischer Aberration bei Erfüllung der Abbeschen Sinusbedingung.
Bei der als Asymmetriefehler bezeichneten meridionalen K. sind im Objektraum symmetrisch zum Hauptstrahl verlaufende, von einem Dingpunkt ausgehende Meridionalstrahlen im Bildraum nicht mehr zum Hauptstrahl symmetrisch. Zwei jeweils objektseitig hauptstrahlsymmetrische Meridionalstrahlen schneiden sich bei reiner K. zwar in der Gaußschen Bildebene, aber im näherungsweise zu h2B proportionalen Abstand Δy'm vom Hauptstrahldurchstoßpunkte (Abb. 2). Bei Außen- bzw. Innenkoma liegen diese Meridionalstrahlschnittpunkte außer- bzw. innerhalb des Bereichs zwischen Hauptstrahl und optischer Achse. Die auf dem Hauptstrahl gemessenen Abstände der Hauptstrahlschnittpunkte der meridionalen Komastrahlen von der Gaußschen Bildebene werden als Längskoma bezeichnet.
Bei der auch als Rinnenfehler bezeichneten sagittalen K. werden von einem Dingpunkt ausgehende Sagittalstrahlen im Bildraum windschief, wobei sie eine rinnenförmige gekrümmte Fläche bilden (Abb. 3), die bei reiner K. die Gaußsche Bildebene in Form einer meridionalen (Bild-)Linie, durch die auch die Meridionalstrahlen verlaufen, durchstößt. Die jeweils durch eine Pupillenzone verlaufenden objektseitigen Sagittalstrahlen schneiden sich dabei in der Gaußschen Bildebene in der Näherung 3. Ordnung im meridionalen Abstand ![]()
vom Hauptstrahldurchstoßungspunkt und im Abstand ![]()
vom Schnittpunkt der durch die gleiche Pupillenzone hB verlaufenden Meridionalstrahlen. Da bei K. 5. Ordnung die sagittale K. sogar nur 1/5 der meridionalen beträgt, kann man im allgemeinen auf ihre Berechnung verzichten, sofern die meridionale K. nicht durch starke Vignettierung unterdrückt ist.
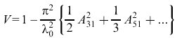
Durch K. entsteht eine Wellenaberration der Größe l'(ρ',ϕ')={A31(3ρ'3-2ρ')+A51(10ρ'5-12ρ'3+3ρ')+...}cosϕ' (A31 und A51Nijboer-Zernike-Koeffizienten für K. 3. und überlagerter 3. und 5. Ordnung; ρ' und ϕ' auf den Pupillenradius bezogene Polarkoordinaten in der Austrittspupille) bezüglich des Punktes maximaler Definitionshelligkeit, die durch
gegeben ist. Für beugungsbegrenzte Systeme mit V≥0,8 gilt für K. 3. Ordnung |A31|≤0,21 λ0 bzw. für überlagerte K. 3. und 5. Ordnung |A51|≤0,25 λ0 (λ0 Vakuumwellenlänge).



Wenn Sie inhaltliche Anmerkungen zu diesem Artikel haben, können Sie die Redaktion per E-Mail informieren. Wir lesen Ihre Zuschrift, bitten jedoch um Verständnis, dass wir nicht jede beantworten können.