Lexikon der Optik: Kontrast
Kontrast, 1) K. bei der optischen Abbildung, Modulationsgrad bei Gittern, normierter Intensitätsunterschied ![]()
zwischen hellen und dunklen Objekt- bzw. Bildstrukturen der Intensität Imax und Imin. Durch Beugung und Aberrationen kann sich der Bildkontrast bis auf 0, d.h. bis auf die Grenze des Auflösungsvermögens verringern.
2) photometrischer K., definierte Beziehungen zwischen räumlich und zeitlich unterschiedlichen Leuchtdichten im Gesichtsfeld. Je nach Anwendungszweck wird eine von drei Kontrastdefinitionen verwendet.
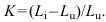
a) Der Weber-Kontrast findet Anwendung für kleine Sehobjekte (Leuchtdichte Li) in einem großen Umfeld (Leuchtdichte Lu). Er ist definiert als![]()
Der Kontrast von Sehzeichen auf einer Sehprobentafel wird durch den Weber-Kontrast beschrieben.
b) Der Michelson-Kontrast, der auch als Modulation bezeichnet wird, wird verwendet, wenn keine eindeutige Unterscheidung zwischen Infeld und Umfeld möglich ist. Dies kann bei periodischen Objekten (z.B. Gittern) oder benachbarten Sehobjekten ähnlicher Größe so sein. Er ist definiert als das Verhältnis der Amplitude zum Mittelwert der Leuchtdichteverteilung![]()
c) Als Kontrastdefinition zur Kennzeichnung optischer Anzeigen kann das Leuchtdichteverhältnis![]()
verwendet werden.
3) physiologischer K., subjektive Empfindung beim Betrachten von Teilen des Gesichtsfeldes, die sich hinsichtlich Leuchtdichte oder Farben unterscheiden. Der Empfindungsunterschied entspricht nicht der räumlichen und zeitlichen Reizverteilung auf der Netzhaut. Entsprechend der Empfindung werden Helligkeitskontrast und Farbkontrast, und nach der räumlichen und zeitlichen Zuordnung der Reize werden Simultankontrast, Sukzessivkontrast und Metakontrast unterschieden.
Helligkeitskontrast liegt vor, wenn die Helligkeitsempfindung infolge von Reizen unterschiedlicher Leuchtdichte variiert.
Der simultane physiologische Farbkontrast tritt auf bei Veränderung der Farbempfindung in Abhängigkeit von Farbreizen, die zu gleicher Zeit auf benachbarte Netzhautstellen einwirken. Sukzessiver Farbkontrast liegt vor, wenn die Farbempfindung durch Einwirken verschiedener Farbreize auf eine Netzhautstelle zu aufeinanderfolgenden Zeiten verändert wird.
Werden benachbarte Netzhautstellen gleichzeitig mit Reizen unterschiedlicher Leuchtdichte belichtet, so spricht man bei diesem K. von Simultankontrast (Abb.).
Sukzessivkontrast tritt bei aufeinanderfolgender unterschiedlicher Reizung derselben Netzhautstelle auf. Der Sukzessivkontrast gleicht dem Simultankontrast, wenn der Zeitunterschied zwischen den beiden Reizen nicht mehr als 0,1 s beträgt und sich die beiden Leuchtdichten nicht zu stark voneinander unterscheiden.
Metakontrast tritt bei aufeinanderfolgender Reizung benachbarter Netzhautstellen auf. Das Nachbild des ersten Bildes wird durch das zweite Bild ausgelöscht.

Kontrast: Simultan-Kontrast. Die kleineren grauen Felder besitzen die gleiche Leuchtdichte. Im hellen Umfeld erscheint das Feld jedoch dunkler als im dunklen Umfeld.
Wenn Sie inhaltliche Anmerkungen zu diesem Artikel haben, können Sie die Redaktion per E-Mail informieren. Wir lesen Ihre Zuschrift, bitten jedoch um Verständnis, dass wir nicht jede beantworten können.