Lexikon der Optik: Kontrastempfindlichkeit
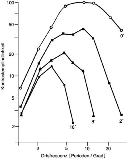
Kontrastempfindlichkeit, Kehrwert der Kontrastschwelle. Die K. des Auges wird anhand von Gittern für verschiedene Ortsfrequenzen ermittelt, so daß man die Kontrastempfindlichkeitsfunktion erhält (Abb. 1). Diese weist unter photopischen Adaptationsleuchtdichten einen glockenförmigen Verlauf auf. Ihr Maximum erreicht sie bei einer Ortsfrequenz von 5 bis 6 Perioden pro Grad. Zu höheren Ortsfrequenzen hin fällt sie steil ab, während der Abfall zu niedrigeren Ortsfrequenzen weniger steil ist. Der Schnittpunkt der Kurve mit der Abszisse stellt das höchstmögliche Auflösungsvermögen des Auges bei maximalem Kontrast dar. Die Fläche unter der Kontrastempfindlichkeitsfunktion läßt sich als das "Fenster des Sichtbaren" interpretieren. Objekte, die hinsichtlich Struktur und Kontrast innerhalb dieser Fläche liegen, werden erkannt, andernfalls bleiben sie dem Beobachter verborgen.
Die K. des Auges wird durch optische und neuronale Faktoren bestimmt. Eine Defokussierung, wie sie bei einer Ametropie vorliegt, führt zu einer Verminderung der K. bei hohen Ortsfrequenzen. Die K. bei Ortsfrequenzen oberhalb von 5 Perioden pro Grad ist wesentlich durch die optischen Eigenschaften des Auges begrenzt. Das Auge wirkt wie ein Low-Pass-Filter. Objektstrukturen niedriger Ortsfrequenzen werden ohne große Verluste abgebildet, während höhere Ortsfrequenzen herausgefiltert werden. Lichtstreuung durch die Augenmedien verursacht eine diffuse Hintergrundbeleuchtung der Netzhaut (Schleierleuchtdichte), wodurch der Netzhautkontrast herabgesetzt wird.
Die Organisation der Netzhaut in rezeptive Felder beeinflußt die K. Die Antwort einer Ganglienzelle auf einen Stimulus ist dann maximal, wenn der Reiz genau die Abmessungen des erregenden Zentrums des rezeptiven Feldes hat. Ein Gitter führt genau dann zur maximalen Aktivität der Ganglienzelle, wenn ein heller Gitterstrich auf das Zentrum und der folgende dunkle Strich auf die Peripherie des rezeptiven Feldes abgebildet wird (Abb. 2). In der Netzhautperipherie werden die rezeptiven Felder größer, so daß hier bevorzugt Gitter mit niedriger Ortsfrequenz verarbeitet werden. Die weitere Verarbeitung der Reize im visuellen System erfolgt innerhalb eng definierter Bandbreiten der Ortsfrequenz, so daß von Ortsfrequenzkanälen im visuellen System ausgegangen werden kann.
Die Gesamtheit aller Neurone und ihrer jeweils spezifischen K. bildet dann die K. des gesamten visuellen Systems. Hinweise auf Ortsfrequenzkanäle werden aus spezifischen Erkrankungen wie z.B. der Multiplen Sklerose gewonnen. Hier sind nur einige Ortsfrequenzkanäle betroffen, so daß die K. nicht für alle Ortsfrequenzen, sondern nur in einem Ortsfrequenzintervall vermindert ist.

Kontrastempfindlichkeit 1: Kontrastempfindlichkeit als Funktion des Netzhautortes (nach Hilz und Cavonius, Vis. Res. 14, 1333, 1974).

Kontrastempfindlichkeit 2: Kontrastempfindlichkeit und Ortsfrequenz. a) Die Ortsfrequenz ist so hoch, daß mehrere Perioden des Gitters auf das erregende Zentrum abgebildet werden. Das Gitter wird dementsprechend mit einer scheinbar niedrigeren Ortsfrequenz wahrgenommen. b) Die Ortsfrequenz ist optimal an das rezeptive Feld angepaßt, wenn die Breite des hellen Streifens genau dem Durchmesser des erregenden Zentrums des rezeptiven Feldes entspricht.
Wenn Sie inhaltliche Anmerkungen zu diesem Artikel haben, können Sie die Redaktion per E-Mail informieren. Wir lesen Ihre Zuschrift, bitten jedoch um Verständnis, dass wir nicht jede beantworten können.