Lexikon der Optik: Lichtausbreitung in einem bewegten Medium
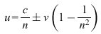
Lichtausbreitung in einem bewegten Medium. Nach der Äthertheorie wäre zu erwarten, daß sich für einen ruhenden Beobachter die Lichtgeschwindigkeit c/n in einem bewegten durchsichtigen Medium (c Vakuumlichtgeschwindigkeit, nBrechungsindex des Mediums) und die Geschwindigkeit v des Mediums einfach addieren, was einer vollständigen Mitnahme des hypothetischen Äthers durch das Medium entspräche. A.J. Fresnel gelangte dagegen 1818 zu der folgenden Voraussage für die (vom ruhenden Beobachter festzustellende) Lichtgeschwindigkeit u:![]()
.
Dabei gilt das Pluszeichen, wenn sich das Licht in der Bewegungsrichtung des Mediums ausbreitet, andernfalls das Minuszeichen. Der Faktor 1-1/n2 heißt Fresnelscher Mitführungskoeffizient. In der speziellen Relativitätstheorie ergibt sich die obige Formel als unmittelbare Folge des relativistischen Additionstheorems der Geschwindigkeiten. Eine experimentelle Bestätigung fand die Fresnelsche Vorhersage bereits 1851 durch den Fizeau-Versuch (Abb.): Einfallendes Licht wird durch einen halbdurchlässigen Spiegel in zwei kohärente Bündel gespalten, die beide eine von Wasser durchströmte U-förmige Röhre durchlaufen und dann zur Interferenz gebracht werden. Das eine der beiden Bündel breitet sich dabei in Strömungsrichtung des Wassers, das andere in der dazu entgegengesetzten Richtung aus, so daß sich die Lichtgeschwindigkeit u einmal vergrößert und einmal verkleinert. Das hat eine von der Strömungsgeschwindigkeit v abhängige Verschiebung der Interferenzstreifen zur Folge, die von Fizeau beobachtet wurde.
Die Fresnelsche Formel wurde 1895 von H.A. Lorentz durch Berücksichtigung des Doppler-Effektes verfeinert:
.
Diese Formel wurde 1914 von P. Zeeman experimentell bestätigt. Eine erneute Bestätigung mit weit höherer Genauigkeit erfolgte 1988 durch G.A. Sanders und S. Ezekiel. In diesem Experiment wurde eine Glasplatte innerhalb eines Ringresonators periodisch hin- und herbewegt. Als Folge dieser Bewegung unterscheiden sich die Eigenfrequenzen des Resonators für die rechts und die links umlaufende Welle, und zwar oszilliert die Differenzfrequenz mit der Frequenz der Plattenbewegung. Dieser Frequenzunterschied wurde durch Messung der Eigenfrequenzen in Transmission bestimmt.

Lichtausbreitung in einem bewegten Medium: Fizeau-Versuch. L einfallendes Licht, G halbdurchlässige Platte; S1, S2 Spiegel, F Fernrohr, P Prisma.
Wenn Sie inhaltliche Anmerkungen zu diesem Artikel haben, können Sie die Redaktion per E-Mail informieren. Wir lesen Ihre Zuschrift, bitten jedoch um Verständnis, dass wir nicht jede beantworten können.