Lexikon der Optik: Lichtquelle
Lichtquelle, ein physikalisches System, das elektromagnetische Strahlung vom Röntgen- bis zum infraroten Bereich, meist jedoch nur in einem begrenzten Spektralgebiet, aussendet. Die Emission des Lichtes erfolgt durch quantenmechanische Übergänge zwischen Atom- oder Molekülniveaus.
Zu unterscheiden sind zunächst natürliche und künstliche L. Zu den natürlichen L. zählen neben der Sonne – als wichtigstem Licht- und Energiespender für unsere Erde – z.B. frei brennende Feuer aus Naturbrennstoffen, Blitze, viele Himmelskörper, aber auch die Leuchtorgane von Insekten und Fischen, die Biolumineszenz zeigen. Für den Betrieb künstlicher L. ist es erforderlich, Energie von außen zuzuführen. In praxi geschieht dies vorwiegend auf elektrischem Wege. Die künstlichen L. werden in konventionelle L. und Laser eingeteilt. Sie unterscheiden sich im Ausstrahlungsmechanismus. Letzterer ist bei konventionellen L. spontaner Natur. Dabei werden von den einzelnen Atomen oder Molekülen jeweils Wellenzüge endlicher Länge mit zufälligen Phasen ausgesandt. Demzufolge zeigt die Gesamtstrahlung starke Fluktuationen (thermisches Licht). Die Ausstrahlung von Lasern dagegen beruht auf der induzierten Emission. Daraus resultieren die besonderen Eigenschaften von Laserlicht.
Praktische Verwendung finden L. zur Beleuchtung, zur Informationsanzeige und für wissenschaftlich-technische Anwendungen. Häufig werden die künstlichen, konventionellen L. auch als Lampen, die Geräte zur Verteilung, Filterung und Umformung des Lampenlichtes als Leuchten bezeichnet (Lichttechnik). Die konventionellen L. werden in Verbrennungslampen und elektrische Lampen eingeteilt. In bezug auf die spektrale Zusammensetzung des ausgesandten Lichtes unterscheidet man Linien-, Kontinuums- und Kombinationsstrahler. Bei letzteren enthält das Spektrum sowohl Linien als auch einen Kontinuumsanteil.
1) Verbrennungslampen. Dies sind Lampen, welche die chemische Energie von festen, flüssigen oder gasförmigen Brennstoffen, gegebenenfalls mittels einer Brenners, in einer Flamme unmittelbar oder mittelbar in Licht umformen. Die Verbrennungslampen, deren Anwendung als L. ständig abnimmt, lassen sich in die Lampen mit selbstleuchtender Flamme und solche mit Glühkörper einteilen. Ein typisches Beispiel für die ersteren ist die in entlegenen Gegenden immer noch verbreitete Petroleumlampe mit Flachoder Runddocht, deren Lichtstromausbeute etwa 0,3 lm/W beträgt. Gesteigerte Lichtausbeuten können mit Glühkörperlampen erreicht werden (Abb. 1). Die Verbrennungsgase heizen den nach Auer von Welsbach benannten Auerglühstrumpf aus Kunstfaser oder Baumwolle auf. Wesentlich ist dabei, daß das Gewebe mit Thoriumnitrat und Cernitrat getränkt ist.
2) Elektrische Lampen. In industriell hochentwickelten Ländern überwiegt die Anwendung von elektrischen Lampen. Sie werden nach Glühlampen, Entladungslampen, Verbundlampen und speziellen Festkörperlampen klassifiziert. Glühlampen sind elektrische Lampen, bei denen feste Stoffe durch Stromwärme, d.h. infolge Widerstandsheizung, unmittelbar oder mittelbar so hoch erhitzt werden, daß sie Licht aussenden. Um die rasche Verdampfung und Oxidation des Heizdrahtes bzw. Heizkörpers zu verhindern, befinden sich diese in einem evakuierten Glasgefäß, das zur Erzielung höherer Lichtströme und längerer Lebensdauern der Lampe mit einem Gas gefüllt sein kann. Von T. A. Edison wurde ab 1881 die Kohlenfadenlampe eingesetzt, die allerdings, verglichen mit den späteren Metallfadenlampen, eine niedrige Lichtstromausbeute besaß. Die Metallfadenlampen erlauben höhere Betriebstemperaturen, unter anderem wegen des sehr hohen Schmelzpunktes von Wolfram.
Die spektrale Leistungsverteilung einer Wolframbandlampe bei verschiedenen Temperaturen ist in Abb. 2 dargestellt. Mit zunehmender Temperatur wird die Lichtausbeute im sichtbaren Gebiet größer, allerdings nimmt dabei auch die technische Lebensdauer der Lampe ab. Bei Glühlampen lassen sich Lebensdauern von 2500 Betriebsstunden erreichen, während hochbelastbare Projektionslampen mit großer Lichtausbeute für nur 50 Stunden Brenndauer hergestellt werden. Die Farbtemperaturen für geradfädige Vakuum-Wolframlampen liegen bei 2500 K, während gasgefüllte Wendellampen 2700 bis 3000 K erreichen. Werden dem Füllgas einer Glühlampe Halogenzusätze, z.B. Brom, beigemischt, so verbinden sich die abdampfenden Wolframpartikel an der kälteren Kolbenwand zu einer Wolfram-Halogen-Verbindung. Dieses Wolframhalogenid strömt durch Konvektion unter anderem zum heißen Wolframdraht zurück und zersetzt sich dort wieder zu Wolfram und Halogen. Die besonders heißen, durch Verdampfung im Durchmesser verringerten Wolframdrahtteile werden durch diesen Prozeß wieder verdickt, so daß die Lampe bei höheren Temperaturen (3200 bis 3400 K) mit besserer Lichtausbeute betrieben werden kann. Die Kolbenschwärzung bei Halogenglühlampen ist minimal, die Lampen weisen einen konstanten Lichtstrom bis zum Ende der technischen Lebensdauer auf. Die Lichtstromausbeuten liegen in der Regel oberhalb 20 lm/W (Abb. 1).
Um die Leuchtdichte von Klarglaslampen herabzusetzen, werden Glühlampen mit mattiertem oder getrübtem (Opallampen) Kolbenmaterial hergestellt. Dunkelkammerlampen haben gefärbte Glaskolben.
Glühlampen können trotz der relativ niedrigen Lichtstromausbeuten fast überall zur Beleuchtung oder Informationsanzeige eingesetzt werden. Viele technische Sonderformen sind erprobt wie etwa Miniaturlampen, Projektionslampen, Fahrzeuglampen, Photolampen, Allgebrauchslampen, Zierlampen, Lampen mit Innenreflektor, Signallampen mit besonders hoher Betriebssicherheit und Wolframbandlampen als Strahldichtenormale. Eine besondere Art von Glühlampen stellen die Infrarotstrahler dar. Neben speziellen Halogenglühlampen finden auch Wolframlampen mit Kolben aus rotfarbigem Glas, Lampen mit indirekt geheizten Feststoffgemischen sowie Lampen in Form von Siliciumkarbid-Stäben Verwendung. Im Ultravioletten sind Glühlampen wenig effektiv.
3) Gasentladungslampen. Als zweite Hauptgruppe neben Glühlampen sind die Gasentladungslampen anzusehen. Diese Lampen zeichnen sich durch höchste Lichtstromausbeuten aus (Abb. 1). Die spektrale Leistungsverteilung ist jedoch bei diesen Lampen sehr unterschiedlich. Häufig sind es Kombinationsstrahler (s.o.). Die Entladung wird dadurch erreicht, daß infolge einer elektrischen Spannung zwischen zwei Elektroden ein Durchgang von Strom durch Gas- oder Metalldampf stattfindet. Dieser Strom ist als ein Transport von geladenen Teilchen aufzufassen, der durch Zuführung von elektrischer Energie ständig aufrechterhalten wird. Die Vielfalt der Lichterzeugungsmöglichkeiten mittels Gasentladungslampen macht eine Untergruppierung erforderlich. Man unterscheidet Bogenlampen (Kohlebogen, Eisenbogen), wobei die Bogenentladung (Gasentladung) zwischen zwei Elektroden meist in Luft stattfindet; Glimmlampen, die ihre geringe, aber wenig trägheitsbehaftete Lichtwirkung durch Ausnutzung des negativen Glimmlichtes einer Gasentladung gewinnen; Leuchtröhren, die bei angelegter Hochspannung mittels Kaltkatoden Gase oder Metalldämpfe zu farbiger oder weißer Lichtaussendung anregen; Leuchtstofflampen mit Quecksilberentladung, wodurch Leuchtstoffe an der Gefäßwand zur Lichtabgabe veranlaßt werden; Metalldampflampen, in denen vorzugsweise Metalldämpfe, vor allem Quecksilber, Natrium und Metallverbindungen, in verschiedenen Druckbereichen und mit unterschiedlichen Stromdichten zum Leuchten gebracht werden; Edelgaslampen, mit hauptsächlich Xenon und Krypton als Füllung, die für Lichtaussendung im Dauer- oder Impulsbetrieb gefertigt werden. Kombinationen von Glüh- und Gasentladungslampen heißen Verbundlampen.
Gasentladungslampen können auch in Niederdruck-, Hochdruck- und Höchstdrucklampen eingeteilt werden. Niederdrucklampen sind Entladungslampen mit langgestreckten Entladungsgefäßen, die mit Metalldampf, der im Gleichgewicht mit seiner festen Phase steht, mit Edelgasen oder mit Edelgasgemischen gefüllt sind. Diese Lampen nutzen zur Lichterzeugung vorwiegend die positive Säule der Gasentladung aus und benötigen zur Aufrechterhaltung des Betriebszustandes eingebaute Elektroden und ein Strombegrenzungsgerät. Typische Niederdruckentladungslampen sind die Leuchtstofflampen. Der Betrieb der Leuchtstofflampe erfolgt mit Netzspannung unter Vorschaltung eines Strombegrenzers, z.B. einer Drossel. Zur Lampe parallel geschaltet ist ein Glimmzünder, eine kurzzeitig arbeitende Glimmentladungsröhre mit Bimetallelektrode. Deren Aufgabe ist es, bei Start der Lampe für kurze Zeit die Glühelektroden vorzuheizen, um thermische Emissionsbedingungen zu schaffen. Sie schaltet sich beim Ingangkommen der Entladung selbständig ab, wobei ein Spannungsimpuls entsteht, der die Lampe voll zündet. Kompakte Leuchtstofflampen werden neuerdings mit Transistorzündung betrieben. Bei dem relativ niedrigen Dampfdruck des Quecksilbers (1 Pa) wird in starkem Maße das energiereiche UV-Licht der Quecksilberresonanzlinie bei 185 nm und der resonanzlinienähnlichen Interkombinationslinie bei 254 nm erzeugt. Diese UV-Strahlung regt die an der Innenwand des Lampengefäßes befindlichen Leuchtstoffe zur langwelligen Lichtemission an. Durch Einsatz geeigneter Leuchtstoffe kann der Farbton des Lampenlichtes in weiten Grenzen geregelt werden. Es ist möglich, eine tageslichtähnliche oder glühlampenähnliche Ausstrahlung zu erhalten. Für spezielle Bestrahlungszwecke können die Leuchtstoffe so gewählt werden, daß mit dem Licht Pflanzenwuchs gefördert wird (blaurot strahlende Lampe). Leuchtstofflampen haben ungefähr bei Zimmertemperatur ihr Lichtstrommaximum. Bei sehr niedrigen Temperaturen fällt ihre Lichtausbeute ab. Moderne Kompakt-Leuchtstofflampen, speziell in Schraubfassungsausführung, werden in Zukunft die Anwendungsbereiche der Glühlampe für die allgemeine Raumbeleuchtung weiter einengen. Eine spezielle Niederdruck-Quecksilberlampe, mit einem Quarzgefäß ohne Leuchtstoffbeschichtung, ist das Ultraviolett-Standard.
Höhere Lichtausbeuten als Quecksilber-Leuchtstofflampen weisen Natrium-Niederdruck- und Hochdruck-Entladungslampen auf. Unter Laborbedingungen sind extrem hohe Lichtausbeuten von etwa 400 lm/W mit geheizten Niederdrucklampen erreicht worden. Die Abstrahlung der Na-D-Resonanzlinie bei 589 und 589,6 nm liegt im gelben Spektralbereich und bedarf nicht der Strahlungsumwandlung über Leuchtstoffe wie bei der Quecksilberlampe. Natrium-Niederdrucklampen sind unter anderem empfindlich gegen niedrige Umgebungstemperaturen. Nach der Entwicklung natriumresistenter und wärmebeständiger Entladungsgefäße aus Sinterkorund haben sich die Natrium-Hochdrucklampen besonders für Außenbeleuchtungen durchgesetzt. Sie enthalten neben Natrium auch Quecksilber, Argon u.a. zur Lampenzündung und zur Brennspannungsanpassung an die Versorgungsspannung des Lichtnetzes. Der Entladungsdampfdruck ist größer als 104 Pa. Dies hat zur Folge, daß starke Selbstabsorption bei der Wellenlänge der Na-D-Linien auftritt, gekoppelt mit einer außerordentlich starken Verbreiterung der Linien. Die goldgelbe Farbe des Natriumlichtes bei den Hochdrucklampen entspricht einer Farbtemperatur von etwa 2100 K. Höhere Farbtemperaturen können mit Quecksilber-Hochdrucklampen, mit Halogen-Metalldampflampen und mit Xenonlampen erreicht werden. Die kontinuierlich brennenden Xenon-Hochdrucklampen erzeugen, wenn auch nicht mit höchster Lichtstromausbeute, tageslichtähnliches Licht, so daß sie unter anderem für Farbprüfungen eingesetzt werden. Wird der Betriebsdruck einer Xenonlampe, bei spezieller geometrischer Form des Lampengefäßes, auf mehr als 106 Pa erhöht, so spricht man von einer Höchstdrucklampe. Die Elektrodenabstände sind bei den Höchstdrucklampen häufig klein, so daß die Lampen hohe Leuchtdichten aufweisen.
Xenonlampen und andere Edelgaslampen können auch impulsmäßig betrieben werden (Impulslampen). Je nach Füllgasdruck, Elektrodenabstand, Entladungsgefäßdurchmesser und äußeren Parametern wie Spannung und Kondensatorkapazität ist die spektrale Leistungsverteilung sehr verschieden. Xenon-Impulslampen werden als Elektronenblitzlampen für die Kurzzeitbelichtung in der Photographie und als Pumplichtquellen für optisch angeregte Laser oder, periodisch gezündet, als Stroboskoplampen eingesetzt.
Quecksilber-Hochdrucklampen mit Quarzentladungsgefäßen, umgeben mit leuchtstoffbeschichteten Glasgefäßen, können für die Außenbeleuchtung und unter anderem zur Beleuchtung von Werkstätten, Bahnhöfen und für spezielle photochemische Prozesse eingesetzt werden. Ihre Lichtausbeute ist geringer als die der Natrium-Hochdrucklampen, bei allerdings merklich höherer Farbtemperatur. Quecksilber-Hochdrucklampen mit Schwarzglaskolben, die nur langwelliges UV-Licht durchlassen, werden zur Fluoreszenzanregung verschiedener Stoffe, z.B. bei der Materialprüfung eingesetzt. Für Beleuchtungsanwendungen mit höheren Ansprüchen an die Farbwiedergabe, etwa bei Farbfernseh- oder Farbfilmaufnahmen in Studios, werden Halogen-Metalldampflampen eingesetzt. Diese Lampen sind in der Regel Quecksilber-Hochdrucklampen mit Leuchtzusätzen in Form von Metallhalogeniden wie Indiumiodid, Thalliumiodid, Zinnchlorid u.a. Die Farbtemperatur schwankt bei diesen Lampen je nach Leuchtzusätzen zwischen 3000 bis 6000 K. Das Licht dieser Lampen kann also sowohl mit Halogen-Glühlampenlicht als auch mit Tageslicht gemischt werden (Abb. 3).
Eine besondere Klasse von Gasentladungslampen sind die Spektrallampen, in der Regel Mitteldruck-Entladungslampen. Sie zeigen je nach Füllung die Spektren von Alkalimetallen (Na, K, Cs), von Edelgasen (Ne, He) sowie der Metalle Quecksilber, Zink, Thallium und Cadmium. Sie werden vornehmlich zur Wellenlängeneichung von Spektralphotometern oder, mit Filtern zusammen, als monochromatische Lichtquellen verwendet. Die Linien der häufig benutzten Quecksilberspektrallampen sind in der Tabelle aufgelistet. Die Intensitäten sind in die Gruppen vs, s, m, w, vw eingeteilt. Dabei bedeutet vs sehr stark (very strong), s stark (strong), m mittel (medium), w schwach (weak) und vw sehr schwach (very weak). Hohlkatodenlampen sind spezielle Spektrallampen für die Atomabsorptions-Spektrometrie. Mit Wasserstoff- oder Deuteriumgas gefüllte Kapillarlampen, kurz Wasserstoff- bzw. Deuteriumlampen genannt, sind Glimmentladungslampen, die neben Linienspektren von
Wasserstoffatomen und -molekülen ein intensives UV-Kontinuum zeigen. Daher werden die Lampen als Ultraviolettstrahler in UV-Absorptionsspektrometern eingesetzt.
L. können auch elektrisch angeregte Festkörpersysteme sein, die Licht auf andere Weise als thermische Strahler aussenden. Beispiele sind der Leuchtkondensator, der auf der Anregung eines Leuchtstoffes in einem elektrischen Wechselfeld beruht, und die optischen Displays, die mit Lumineszenzdioden arbeiten oder die Elektrolumineszenz ausnutzen.
Andere moderne Anwendungen von L. beruhen auf dem Einsatz in der Datenspeicherung oder -löschung, bei Materialbestrahlungen, bei Augenoperationen, beim Ausheilen von Defekten in Halbleitermaterialien, in der Photolithographie, in der Photochemie, als IR- oder UV-Therapielampen in der Medizin und als UV-Analysenlampe. Atomemissions-Spektrometrie.


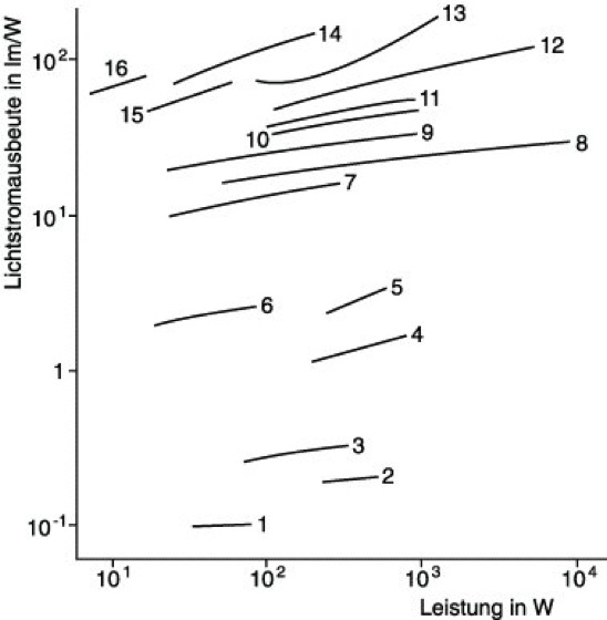
Lichtquelle 1: Lichtstromausbeuten in Relation zur Lampenleistung. 1 Wachskerzen, 2 Gaslicht, 3 Petroleumlampen, 4 Gasglühlicht, 5 Acetylenlampen, 6 Kohlefadenlampen, 7 Wolframglühlampen, 8 Xenon-Hochdrucklampen, 9 Halogen-Glühlampen, 10 Quecksilber-Hochdrucklampen, 11 wie 10 mit Leuchtstoff, 12 Halogen-Metalldampflampen, 13 Natrium-Hochdrucklampen, 14 Natrium-Niederdrucklampen, 15 Leuchtstofflampen, 16 Kompakt-Leuchtstofflampen.

Lichtquelle 2: Spektrale Leistungsverteilung von 100 mm2 Wolframband. Parameter ist die Temperatur des Wolframbandes.

Wenn Sie inhaltliche Anmerkungen zu diesem Artikel haben, können Sie die Redaktion per E-Mail informieren. Wir lesen Ihre Zuschrift, bitten jedoch um Verständnis, dass wir nicht jede beantworten können.