Lexikon der Optik: Lochkamera
Lochkamera, Camera obscura, einfachstes einer photographischen Kamera ähnliches optisches Instrument, das an Stelle des Objektivs eine kleine Lochblende in einem lichtundurchlässigen Gehäuse mit einer im Blendenabstand a' angeordneten, gegen eine photographische Platte austauschbaren Mattscheibe (Abb. a) besitzt. Bei gegenüber den aufzulösenden Objektdetails und gegenüber dem (negativen) Objektabstand (-)a hinreichend kleinem Blendendurchmesser 2hB, der aber zur Vermeidung von Beugungsunschärfe groß gegenüber der Lichtwellenlänge λ sein muß, entsteht durch die geradlinige Lichtausbreitung eine Projektion des Objektes auf der Auffangebene. Dieses infolge des sehr kleinen Blendendurchmessers sehr lichtschwache, höhen- und seitenverkehrte, verzeichnungsfreie Projektionsbild entspricht bezüglich Helligkeits- und Farbverteilung dem Objekt. Das Projektionsbild setzt sich aus den auf 2hB(1-a'/a) vergrößerten geometrisch-optischen Schattenbildern der Blende zusammen, die die einzelnen Objektpunkte entsprechend ihrer Helligkeit und Farbe als "Bildpunkte" auf die Auffangebene projizieren (Abb. a). Durch diese projektive Unschärfe wird die relativ große Schärfentiefe der L. begrenzt. Die Forderung einer maximal zulässigen projektiven Unschärfe führt zu einer Begrenzung des Blendendurchmessers. Der Abbildungsmaßstab der L. ist ![]()
. Infolge der Fresnelschen Beugung an der Blende schwankt die relative Intensitätsverteilung auf der Achse der Blende unabhängig von der mit dem Quadrat des Objektabstandes von der Auffangebene abnehmenden Bildhelligkeit (Abb. b). Der Blendenabstand ![]()
des ersten Intensitätsmaximums ist die Brennweite der L., der Blendenabstand der Auffangebene mit dem besten Auflösungsvermögen und Kontrast, in der die Beugungsfigur am schmalsten ist, ist die effektive Brennweite optimaler Schärfe ![]()
(Abb. b). Entsprechend existiert bei Abbildung aus dem Unendlichen und einem Auffangebenenabstand ![]()
' von der Blende ein optimaler Blendendurchmesser ![]()
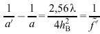
. Für die endliche Abbildung folgt der optimale Blendenabstand a' der Auffangebene aus der Abbildungsgleichung![]()
Die in der Vedutenmalerei des 18. Jh. z.B. von den Canalettos verwendete L. wird in der Röntgentechnik zur Bestimmung der Brennfleckgröße von Röntgenröhren eingesetzt.

Lochkamera: a) Geometrisches Modell der Abbildung durch Schattenprojektion der Lochblende von den einzelnen Objektpunkten O aus.
b) Intensitätsverlauf längs der Blendenachse bei Fresnelscher Beugung an der Lochblende. hB Blendenradius, f'' Brennweite, ![]()
' effektive Brennweite, λ Wellenlänge.
Wenn Sie inhaltliche Anmerkungen zu diesem Artikel haben, können Sie die Redaktion per E-Mail informieren. Wir lesen Ihre Zuschrift, bitten jedoch um Verständnis, dass wir nicht jede beantworten können.