Lexikon der Optik: Messung ultrakurzer Lichtimpulse
Messung ultrakurzer Lichtimpulse, Bestimmung von deren zeitlichem Intensitätsverlauf. Eine direkte Messung kann mit Hilfe einer Streakkamera vorgenommen werden. Damit ist eine maximale Zeitauflösung von etwa 1 ps erreichbar. Andere, weniger aufwendige Verfahren machen von dem folgenden Sachverhalt Gebrauch. Teilt man den ankommenden Impuls mittels eines halbdurchlässigen Spiegels und läßt die beiden Teilimpulse gegeneinanderlaufen (Abb. 1), so addieren sich dort, wo sich die Teilimpulse überlagern – längs einer Strecke also, die ungefähr der Impulslänge entspricht – die Feldstärken der beiden Teilimpulse. Das führt zu einem meßbaren Effekt, wenn man von Methoden der nichtlinearen Optik Gebrauch macht. Im einfachsten Falle benutzt man zur Messung die Zweiphotonenfluoreszenz, nach der englischen Bezeichnung "two-photon fluorescence" oft mit TPE abgekürzt. Darunter versteht man die Aussendung von Fluoreszenzlicht aus Molekülen, die durch simultane Absorption von jeweils zwei Photonen (Zweiphotonenabsorption) angeregt wurden. Wesentlich ist, daß die Übergangswahrscheinlichkeit für die Zweiphotonenabsorption proportional zum Quadrat der momentanen Intensität des am Orte des Moleküls herrschenden Strahlungsfeldes, also zur vierten Potenz des Betrages der komplexen Amplitude der elektrischen Feldstärke ist. Die Folge davon ist, daß von den Stellen, an denen sich die beiden Teilimpulse überlagern, wesentlich mehr Fluoreszenzlicht ausgeht als von den Stellen, die von den beiden Teilimpulsen nacheinander überstrichen werden.
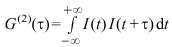
Die Messung erfolgt so, daß sich die gegenläufigen Teilimpulse in einer Küvette treffen, die mit einer geeigneten Farbstofflösung gefüllt ist, und dort Zweiphotonenfluoreszenz hervorrufen (Abb. 1). Photographiert man die Fluoreszenzerscheinung mit einer Kamera, so ergibt sich eine unterschiedlich geschwärzte gerade Linie. Aus der Schwärzungsverteilung F kann man die Intensitätskorrelationsfunktion![]()
(mit I(t) als Intensität zur Zeit t und τ als Verzögerungszeit) des Impulses ermitteln; es besteht nämlich der Zusammenhang![]()
wobei F0 die Schwärzung bezeichnet, die sich bei Abdeckung eines der Teilstrahlen ergibt, und unterschiedliche Werte von τ unterschiedlichen Stellen auf der Schwärzungsspur entsprechen. Aus der Intensitätskorrelationsfunktion G(2)(τ) kann man auf die Länge und Form des Impulses schließen. Der Vorteil dieses Verfahrens besteht darin, daß man G(2)(τ) bereits an einem Einzelimpuls messen kann. Die erreichbare Zeitauflösung liegt bei 1 ps.
Ein weiterer, zur Impulsmessung geeigneter nichtlinearer optischer Prozeß ist die Frequenzverdopplung. Hierbei wird der ankommende Impuls in zwei Teilimpulse zerlegt, die mit einer wahlweise einstellbaren zeitlichen Verzögerung entweder parallel (kollineare Wechselwirkung) oder unter einem Winkel (nichtkollineare Wechselwirkung) durch einen nichtlinearen Kristall geschickt werden (Abb. 2), wo sie die zweite Harmonische erzeugen (Harmonischenerzeugung). Das zeitliche Integral über deren Intensität ist das Meßsignal, das mit einem Detektor registriert wird. Es wird so die Intensitätskorrelationsfunktion G(2)(τ) für eine feste Verzögerungszeit τ gemessen. Wie im Falle der Zweiphotonenfluoreszenz enthält das Signal zusätzlich einen Untergrund. Dessen Auftreten kann dadurch vermieden werden, daß man bei kollinearer Wechselwirkung die beiden Teilimpulse senkrecht zueinander linear polarisiert und den Kristall und seine Orientierung so wählt, daß nur dann eine Harmonische erzeugt wird, wenn sowohl Strahlung der einen Polarisationsrichtung als auch Strahlung der anderen Polarisationsrichtung gleichzeitig auf den Kristall trifft. Des weiteren läßt sich ein untergrundfreies Signal bei nichtkollinearer Wechselwirkung erhalten. Die Methode der Harmonischenerzeugung hat den Vorteil, daß sich die Verzögerungszeit sehr genau einstellen läßt, so daß Impulsmessungen im Femtosekundenbereich möglich sind. Allerdings muß zur Messung ein Impulszug zur Verfügung stehen, da die Einzelmessung den Wert der Intensitätskorrelationsfunktion für nur einen Wert von τ liefert.

Messung ultrakurzer Lichtimpulse 1: Impulsmessung via Zweiphotonenfluoreszenz. S halbdurchlässiger Spiegel; S1, S2 Umlenkspiegel, F fluoreszierende Flüssigkeit, K Kamera.

Wenn Sie inhaltliche Anmerkungen zu diesem Artikel haben, können Sie die Redaktion per E-Mail informieren. Wir lesen Ihre Zuschrift, bitten jedoch um Verständnis, dass wir nicht jede beantworten können.