Direkt zum Inhalt

Lexikon der Optik: Mikrophotographie

Mikrophotographie, Verfahren zur Dokumentation mikroskopischer Bilder mit Hilfe mikrophotographischer Geräte.

1) Bildentstehung. Für die mikrophotographische Bildwiedergabe wird ein reelles Endbild am Orte der photographischen Schicht benötigt. Der Abbildungsstrahlengang muß gegenüber der subjektiven Beobachtung durch Umstellen des Mikroskopes verändert werden. Möglichkeiten der Umstellung sind a) die Anordnung einer Kamera mit einem auf die Entfernungsmarke ∞ eingestellten Photoobjektiv über dem Okular, b) das Verlängern des Mikroskoptubus durch Herausziehen des Okulars, c) das Umfokussieren des Mikroskops durch Verstellen der Objektiv-Okular-Kombination gegenüber dem Objekt oder d) der Austausch des Okulars gegen spezielle Projektive bzw. Photookulare.

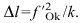
Die Größe der Tubusverlängerung Δl ist von der Okularbrennweite f'Ok und der optischen Kameralänge k, d.i. der Abstand der Filmebene von der Austrittspupille des Mikroskops, in folgender Weise abhängig:

.

Der Betrag der Umfokussierung Δz wird zusätzlich noch vom Objektivmaßstab βObj bestimmt; es gilt

.

Das Umstellen durch Tubusverlängerung oder Umfokussierung empfiehlt sich nur dann, wenn Okulare hoher Vergrößerung oder optische Kameras mit Längen über 250 mm eingesetzt werden. Okulare geringer Vergrößerung oder Kameralängen unter 250 mm können zu einem Verlust an Bildqualität führen.

2) Abbildungsmaßstab. Das mikrophotographische Endbild soll in einem der förderlichen Vergrößerung entsprechenden Maßstab wiedergegeben werden. Da das Endbild ein Papierbild der Größe 90 mm×120 mm oder das projizierte Bild eines Diapositivs sein kann, muß bei der Berechnung des förderlichen Abbildungsmaßstabes βförd außer der numerischen Objektivapertur AObj die Betrachtungsentfernung a des Endbildes und die Bezugssehweite l=250 mm berücksichtigt werden; es gilt βförd=(500...1000)AObja/l. Der sich aus Abbildungsmaßstab βF des Filmbildes und Nachvergrößerungsfaktor p (p ist das Größenverhältnis zwischen Endbild und Filmbild) ergebende Abbildungsmaßstab βEnd soll im Bereich des förderlichen Maßstabes liegen: βEnd = βFp = βförd. Daraus kann für den mikrophotographischen Aufbau die Objektiv-Okular-Kombination errechnet werden, die zur Erzielung des optimalen Abbildungsmaßstabes in der Filmebene erforderlich ist. In der Regel wählt man für die mikrophotographische Aufnahme die untere Grenze des förderlichen Maßstabes, da die Bilder dann meist brillanter sind. Bei Übersichtsaufnahmen mikroskopischer Objekte wird der förderliche Maßstabsbereich bewußt unterschritten. Hier bestimmt die Objektgröße die einzusetzende Optik.

Der Abbildungsmaßstab βF in der Filmebene errechnet sich je nach Art der Mikroskopumstellung aus der Gesamtvergrößerung des Mikroskops pM, der optischen Kameralänge k, der Bezugssehweite l=250 mm, der Brennweite des Photoobjektivs f

, den Maßstabszahlen von Objektiv βObj und Projektiv βP sowie der Vergrößerung des Photookulars pPh in folgender Weise.

a) Photoobjektiv über Okular: βF=f

pM/l,

b) Tubusverlängerung: βF=kpM/l,

c) Umfokussierung: βF=kpM/l,

d) Einsatz Projektiv: βFObjβP,

e) Einsatz Photookular: βFObjpPh.

Zur genauen Bestimmung des Maßstabes in der Filmebene kann eine Objektmeßplatte mit dem für die Aufnahme eingerichteten Aufbau photographiert werden.

3) Belichtungszeit. Dafür ist die Beleuchtungsstärke in der Filmebene maßgebend. Sie kann durch Probebelichtung oder mit Belichtungsmessern ermittelt sowie mit Belichtungsautomaten gesteuert werden.

Bei der Probebelichtung wird der Film mit einer Reihe von um den Faktor 2 gestuften Zeiten belichtet. Auf Kleinbildfilmen entsteht in einer Belichtungsreihe oder durch eine Streifenprobebelichtung ein aus mehreren Aufnahmen bestehender Filmstreifen, auf großformatigen Materialien ein Negativ mit unterschiedlich geschwärzten Bildstreifen. Die Belichtungsreihe wird mit dem Kassettenschieber realisiert. Nach dem vollständigen Öffnen der Kassette wird der Kassettenschieber stufenweise vor den Film geschoben, wobei nacheinander verschiedenen Objektbereichen entsprechende Teile des Films abgedeckt werden. Die Streifenprobebelichtung erfolgt mit dem Multiplikator. Der Film wird stufenweise an einer Schlitzblende vorbeigeschoben; es wird stets die gleiche Objektstelle auf jedem Probestreifen aufgenommen. Die richtig geschwärzte Probeaufnahme liefert die richtige Belichtungszeit.

Unter Zuhilfenahme von Belichtungsmessern werden mikrophotographische Aufnahmen zeit- und materialsparend angefertigt und gleichmäßig belichtet. Die der Helligkeit des mikroskopischen Bildes entsprechende Belichtungszeit kann direkt oder über Umrechnungsskalen am Belichtungsmesser abgelesen werden sowie anhand von Meßwerten aus Eichkurven ermittelt werden. Die geeichten Skalenmarken und Kurven gelten nur bei konstanten Parametern bezüglich Aufnahmematerial, Entwickler und Empfängeranordnung. Jede Abweichung davon erfordert eine Neueichung. Allgemein sind Belichtungsmesser für mikroskopische Verfahren mit ausreichender Bildhelligkeit gut, für lichtschwache Verfahren jedoch nur bedingt einsetzbar. Verfahren mit geringen Bildhelligkeiten erfordern empfindliche Empfänger und Meßgeräte.

Mikrophotographische Einrichtungen mit Belichtungsautomaten steuern die Belichtungszeit der Aufnahme in Abhängigkeit von dem vorhandenen Lichtstrom und den vorgegebenen Aufnahmeparametern. Das vom Mikroskop kommende Licht gelangt dabei über einen Strahlenteiler auf einen lichtelektrischen Empfänger, dessen Signal weiterverarbeitet wird. Durch Belichtungsautomaten werden Arbeitsgänge des Aufnahmeprozesses eingespart und Fehlbelichtungen vermieden. Zum Messen des Lichtstromes wird auf den lichtelektrischen Empfänger ein Bildfeld abgebildet, das etwa der Größe des photographisch erfaßten Feldes entspricht. Die Lichtmessung erfolgt integral über das gesamte Bildfeld. Diese Art der Messung kann Fehlbelichtungen zur Folge haben, wenn im Meßfeld der Anteil der Objektstrukturen gegenüber dem objektfreien Untergrund sehr gering ist, also der objektfreie Untergrund die Belichtungszeit bestimmt. Derartige Fehler werden vermieden, indem das auf den Empfänger abgebildete Bildfeld der Größe der kleinen Objektdetails angepaßt wird. Moderne Belichtungsautomaten gestatten ein wahlweises Umschalten zwischen Integral- und Punktmessung.

Bei Verwendung handelsüblicher Kleinbildkameras mit Innenlichtmessung am mikrophotographischen Aufbau kann die Kamera selbst zur Belichtungszeitmessung bzw. zur automatischen Steuerung des Belichtungsvorganges genutzt werden.

4) Lichtfilter. Mit ihnen wird das von der Lichtquelle emittierte Licht meist in seiner spektralen Zusammensetzung oder seiner Intensität den Erfordernissen der mikrophotographischen Aufgabe angepaßt. Die Filterwirkung wird durch Absorption oder Interferenz des Lichtes hervorgerufen. Absorptionsfilter bewirken eine teilweise Schwächung oder vollkommene Ausblendung bestimmter Spektralbereiche des weißen Lichtes, oder sie schwächen das Licht über den gesamten Spektralbereich. Interferenzfilter sind in der Regel nur für sehr enge Spektralbereiche des Gesamtspektrums durchlässig. Lichtfilter sind nach ihrem Verwendungszweck wie folgt zu charakterisieren: Mit Kontrastfiltern kann der Kontrast farbiger oder gefärbter Objekte gesteigert werden. Dabei werden der Filterfarbe entsprechende Objektfarben aufgehellt und zu der Filterfarbe komplementäre Objektfarben dunkler wiedergegeben. Kompensationsfilter ermöglichen die Anpassung des Lichtstromes in seiner Intensität bzw. seiner spektralen Zusammensetzung an die Empfindlichkeit des Empfängers (z.B. Auge, Aufnahmematerial). Durch Dämpfungsfilter wird die Intensität des Lichtes ohne Veränderung seiner spektralen Zusammensetzung verringert. Durch Konversionsfilter wird die spektrale Charakteristik des Lichtstroms an die spektrale Empfindlichkeit des Farbaufnahmematerials angepaßt. Selektionsfilter sondern aus dem Spektrum des Lichtstromes ein eng begrenztes Band aus, so daß man annähernd monochromatisches Licht erhält. Mit Korrektionsfiltern können z.B. noch vorhandene chromatische Abbildungsfehler, von der Mikroskopoptik verursachte Farbstiche oder Farbverfälschungen infolge des Schwarzschild-Effektes beim Aufnahmematerial behoben werden. Wärmeschutzfilter absorbieren rote und infrarote Anteile des Lampenspektrums und schützen so wärmeempfindliche Bauteile vor Überhitzung.

Jedes Lichtfilter verringert die Lichtintensität im mikroskopischen Bilde. Die Größe des Lichtverlustes ist vom jeweiligen Filter abhängig. Sie wird durch den Filterfaktor angegeben, um den sich die Belichtungszeit mikrophotographischer Aufnahmen bei Anwendung des Filters verlängert.

5) Aufnahmeformat. Gebräuchlichstes Aufnahmeformat ist das Kleinbildformat (24 mm × 36 mm). Seine Vorteile sind unter anderem der preiswerte, rationelle Einsatz für Einzel- und Serienaufnahmen und die gegenüber größeren Formaten kürzere Belichtungszeit. Mittelformat (65 mm × 90 mm) und Großformat (90 mm × 120 mm; 4″ × 4″) werden bevorzugt für Aufnahmen mit kleinen Abbildungsmaßstäben und für als Druckvorlagen dienende Aufnahmen zur genauen Wiedergabe der Objektdetails und der Objektfarben verwendet.

6) Aufnahmematerial. Der Kontrast mikroskopischer Objekte ist im allgemeinen gering. Er muß bei der M. durch den Einsatz von Lichtfiltern, durch gezielte Auswahl sowie entsprechende Verarbeitung des Aufnahmematerials verstärkt werden. Als Aufnahmematerial für die M. sind viele der in der normalen Photographie verwendeten Materialien einsetzbar. Für die meisten mikrophotographischen Vorhaben sind Filme mittlerer Empfindlichkeit wegen ihrer geringen Körnigkeit und hohen Konturschärfe ausreichend. Schwarzweiß-Materialien sind hauptsächlich orthochromatisch oder panchromatisch sensibilisiert. Orthochromatisches Material ist rotunempfindlich. Es wird bevorzugt eingesetzt, wenn Präparate mit roten Objektfarben kontrastreich und Präparate ohne rote Objektfarben tonwertrichtig mit gutem Kontrast darzustellen sind. Panchromatisches Material gibt die Helligkeitswerte der verschiedenen Objektfarben in annähernd tonwertrichtigen Graustufen wieder. Der Bildkontrast kann durch Kontrastfilterung gezielt verändert werden. Farbmaterialien sind sowohl auf Kunstlicht (Farbtemperatur 3200 K) als auch auf Tageslicht (Farbtemperatur 5600 K) sensibilisiert. Die vorhandene Lichtquelle bestimmt die zu verwendende Sensibilisierung. Allgemein gilt: Kunstlichtfilm zu Kunstlichtquelle, Tageslichtfilm zu Tageslichtquelle. Jedes Abweichen davon erfordert den Einsatz von Konversionsfiltern.

7) M. mit Ultraviolettstrahlung. Sie wird zur Dokumentation solcher mikroskopischer Objekte eingesetzt, die im sichtbaren Licht ohne Färbemethoden oder Kontrastverfahren nur schwer bzw. überhaupt nicht darzustellen sind. Gleichzeitig verbessert sich durch die Verwendung von UV-Strahlung das Auflösungsvermögen, und die Werte für den förderlichen Abbildungsmaßstab erhöhen sich. Das mit UV-Strahlen erzeugte mikroskopische Bild wird über eine UV-Mikroaufnahme, einen UV-Bildwandler oder einen Fluoreszenzschirm dem Auge sichtbar gemacht. Die Aufnahme des Bildes kann durch Photographieren des auf dem Fluoreszenz- bzw. Bildwandlerschirm sichtbaren Bildes oder durch Belichten spezieller für UV-Licht sensibilisierter Photomaterialien mit der vom Mikroskop kommenden UV-Strahlung angefertigt werden. UV-Aufnahmen sind von weichem Bildcharakter. Sie erfordern daher hart arbeitende Photomaterialien.

8) M. mit Infrarotstrahlung. Mit dieser Technik werden mikroskopische Objekte dargestellt, die im sichtbaren und UV-Spektralbereich undurchlässig sind. Das Auflösungsvermögen ist dabei verschlechtert, und die Werte des förderlichen Abbildungsmaßstabes sind reduziert. Die von IR-Strahlen erzeugten Bilder werden analog zur M. mit UV-Strahlung durch Photographieren des auf dem Schirm des IR-Bildwandlers sichtbaren Bildes oder durch Belichten von IR-Photomaterialien mit der vom Mikroskop kommenden IR-Strahlung aufgenommen. IR-Photomaterialien sind spezielle, auf bestimmte Bereiche des IR-Spektrums sensibilisierte Aufnahmematerialien. IR-Aufnahmen müssen in der Regel hart entwickelt werden.

9) Lupen- und Makrophotographie. Die Lupenphotographie ist das Teilgebiet der M., bei dem zur Anfertigung mikrophotographischer Aufnahmen durch einstufig vergrößernde mikrophotographische Objektive (mikrophotographische Geräte) das mikroskopische Objekt im Abbildungsmaßstab ≥1:1 in die Filmebene abgebildet wird.

Unter den Begriff der Makrophotographie werden die Verfahren der einstufigen Abbildung eingeordnet, die das Anfertigen von Aufnahmen im Abbildungsmaßstab 1:10 bis 1:1 gestatten.

10) Als Mikrokinegraphie wird das Verfahren bezeichnet, bei dem mikrophotographische Kleinbildaufnahmen mit definierten Aufnahmeabständen zur Dokumentation zeitabhängiger Veränderungen am mikroskopischen Objekt angefertigt werden. Zur Durchführung des Verfahrens sind eine mikrophotographische Kamera für Kleinbildformat 24 mm×36 mm mit Belichtungsautomatik, motorischem Filmtransport oder ein die Aufnahmefolge steuernder Zeitgeber erforderlich. Mikrokinegraphische Aufnahmen können auch mit einer Luftbildkamera in Verbindung mit einem Zeitraffer angefertigt werden. Der Vorteil der Kleinbildaufnahme ist jedoch der geringe Geräteaufwand und der größere Informationsgehalt im Aufnahmeformat.

11) Mikrokinematographie. Diese erlaubt die Darstellung von Bewegungsabläufen – z.B. Form- oder Strukturveränderungen – an mikroskopischen Objekten mit Hilfe mikrokinematographischer Kameras (mikrophotographische Geräte). Durch Veränderung des Zeitmaßstabes – Zeitdehnung oder Zeitraffung – können diese Bewegungen analysiert werden. Andererseits können auch Bewegungsabläufe dargestellt werden, die außerhalb des menschlichen Zeitwahrnehmungsvermögens liegen.

  • Die Autoren
Roland Barth, Jena
Dr. Artur Bärwolff, Berlin
Dr. Lothar Bauch, Frankfurt / Oder
Hans G. Beck, Jena
Joachim Bergner, Jena
Dr. Andreas Berke, Köln
Dr. Hermann Besen, Jena
Prof. Dr. Jürgen Beuthan, Berlin
Dr. Andreas Bode, Planegg
Prof. Dr. Joachim Bohm, Berlin
Prof. Dr. Witlof Brunner, Zeuthen
Dr. Eberhard Dietzsch, Jena
Kurt Enz, Berlin
Prof. Joachim Epperlein, Wilkau-Haßlau
Prof. Dr. Heinz Falk, Kleve
Dr. Wieland Feist, Jena
Dr. Peter Fichtner, Jena
Dr. Ficker, Karlsfeld
Dr. Peter Glas, Berlin
Dr. Hartmut Gunkel, Berlin
Dr. Reiner Güther, Berlin
Dr. Volker Guyenot, Jena
Dr. Hacker, Jena
Dipl.-Phys. Jürgen Heise, Jena
Dr. Erwin Hoffmann, Berlin (Adlershof)
Dr. Kuno Hoffmann, Berlin
Prof. Dr. Christian Hofmann, Jena
Wolfgang Högner, Tautenburg
Dipl.-Ing. Richard Hummel, Radebeul
Dr. Hans-Jürgen Jüpner, Berlin
Prof. Dr. W. Karthe, Jena
Dr. Siegfried Kessler, Jena
Dr. Horst König, Berlin
Prof. Dr. Sigurd Kusch, Berlin
Dr. Heiner Lammert, Mahlau
Dr. Albrecht Lau, Berlin
Dr. Kurt Lenz, Berlin
Dr. Christoph Ludwig, Hermsdorf (Thüringen)
Rolf Märtin, Jena
Ulrich Maxam, Rostock
Olaf Minet, Berlin
Dr. Robert Müller, Berlin
Prof. Dr. Gerhard Müller, Berlin
Günter Osten, Jena
Prof. Dr. Harry Paul, Zeuthen
Prof. Dr. Wolfgang Radloff, Berlin
Prof Dr. Karl Regensburger, Dresden
Dr. Werner Reichel, Jena
Rolf Riekher, Berlin
Dr. Horst Riesenberg, Jena
Dr. Rolf Röseler, Berlin
Günther Schmuhl, Rathenow
Dr. Günter Schulz, Berlin
Prof. Dr. Johannes Schwider, Erlangen
Dr. Reiner Spolaczyk, Hamburg
Prof. Dr. Peter Süptitz, Berlin
Dr. Johannes Tilch, Berlin (Adlershof)
Dr. Joachim Tilgner, Berlin
Dr. Joachim Träger, Berlin (Waldesruh)
Dr. Bernd Weidner, Berlin
Ernst Werner, Jena
Prof. Dr. Ludwig Wieczorek, Berlin
Wolfgang Wilhelmi, Berlin
Olaf Ziemann, Berlin


Schreiben Sie uns!

Wenn Sie inhaltliche Anmerkungen zu diesem Artikel haben, können Sie die Redaktion per E-Mail informieren. Wir lesen Ihre Zuschrift, bitten jedoch um Verständnis, dass wir nicht jede beantworten können.

Partnerinhalte

Bitte erlauben Sie Javascript, um die volle Funktionalität von Spektrum.de zu erhalten.