Direkt zum Inhalt

Lexikon der Optik: Newtonsche Ringe

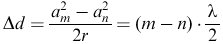
Newtonsche Ringe, eine Interferenzerscheinung, die zu beobachten ist, wenn eine plankonvexe Linse gegen eine ebene Glasplatte gedrückt wird (Newtonsches Glas). Es handelt sich dabei um Interferenzkurven gleicher Dicke, die an der zwischen der Linse und der Glasplatte befindlichen Luftschicht auftreten. Man sieht bei einfarbigem, von oben einfallendem Licht in der Mitte einen kreisrunden schwarzen Fleck, der dort erscheint, wo die Luftschichtdicke Null ist. Umgeben ist er von abwechselnd hellen und dunklen Ringen, deren Breite mit der Größe ihrer Durchmesser abnimmt. Die Ringe werden mit der Lupe betrachtet und ihr Durchmesser mit einem auf die plane Linsenfläche gelegten Maßstab gemessen. Der Abstand zweier dunkler Ringe entspricht einer Dicke der Luftschicht von einer halben Wellenlänge. Sind die Durchmesser am und an des m-ten bzw. n-ten Ringes und der Krümmungsradius r der Linse bekannt, so kann aus der Beziehung


die Wellenlänge λ des verwendeten Lichtes bestimmt werden. Umgekehrt kann auch bei bekanntem λ der Radius r der Linse ermittelt werden. Bei Verwendung weißen Lichtes entstehen eng aneinanderliegende und sich teilweise überlagernde Farbenringe der verschiedenen Ordnungen. Bei höheren Ordnungen verwischen sich die Farben immer mehr und ergeben in größerer Entfernung von der schwarzen Mitte Weiß. Im durchgehenden Licht erscheinen die Interferenzfarben komplementär zu den Ringen im reflektierten Licht.

  • Die Autoren
Roland Barth, Jena
Dr. Artur Bärwolff, Berlin
Dr. Lothar Bauch, Frankfurt / Oder
Hans G. Beck, Jena
Joachim Bergner, Jena
Dr. Andreas Berke, Köln
Dr. Hermann Besen, Jena
Prof. Dr. Jürgen Beuthan, Berlin
Dr. Andreas Bode, Planegg
Prof. Dr. Joachim Bohm, Berlin
Prof. Dr. Witlof Brunner, Zeuthen
Dr. Eberhard Dietzsch, Jena
Kurt Enz, Berlin
Prof. Joachim Epperlein, Wilkau-Haßlau
Prof. Dr. Heinz Falk, Kleve
Dr. Wieland Feist, Jena
Dr. Peter Fichtner, Jena
Dr. Ficker, Karlsfeld
Dr. Peter Glas, Berlin
Dr. Hartmut Gunkel, Berlin
Dr. Reiner Güther, Berlin
Dr. Volker Guyenot, Jena
Dr. Hacker, Jena
Dipl.-Phys. Jürgen Heise, Jena
Dr. Erwin Hoffmann, Berlin (Adlershof)
Dr. Kuno Hoffmann, Berlin
Prof. Dr. Christian Hofmann, Jena
Wolfgang Högner, Tautenburg
Dipl.-Ing. Richard Hummel, Radebeul
Dr. Hans-Jürgen Jüpner, Berlin
Prof. Dr. W. Karthe, Jena
Dr. Siegfried Kessler, Jena
Dr. Horst König, Berlin
Prof. Dr. Sigurd Kusch, Berlin
Dr. Heiner Lammert, Mahlau
Dr. Albrecht Lau, Berlin
Dr. Kurt Lenz, Berlin
Dr. Christoph Ludwig, Hermsdorf (Thüringen)
Rolf Märtin, Jena
Ulrich Maxam, Rostock
Olaf Minet, Berlin
Dr. Robert Müller, Berlin
Prof. Dr. Gerhard Müller, Berlin
Günter Osten, Jena
Prof. Dr. Harry Paul, Zeuthen
Prof. Dr. Wolfgang Radloff, Berlin
Prof Dr. Karl Regensburger, Dresden
Dr. Werner Reichel, Jena
Rolf Riekher, Berlin
Dr. Horst Riesenberg, Jena
Dr. Rolf Röseler, Berlin
Günther Schmuhl, Rathenow
Dr. Günter Schulz, Berlin
Prof. Dr. Johannes Schwider, Erlangen
Dr. Reiner Spolaczyk, Hamburg
Prof. Dr. Peter Süptitz, Berlin
Dr. Johannes Tilch, Berlin (Adlershof)
Dr. Joachim Tilgner, Berlin
Dr. Joachim Träger, Berlin (Waldesruh)
Dr. Bernd Weidner, Berlin
Ernst Werner, Jena
Prof. Dr. Ludwig Wieczorek, Berlin
Wolfgang Wilhelmi, Berlin
Olaf Ziemann, Berlin


Schreiben Sie uns!

Wenn Sie inhaltliche Anmerkungen zu diesem Artikel haben, können Sie die Redaktion per E-Mail informieren. Wir lesen Ihre Zuschrift, bitten jedoch um Verständnis, dass wir nicht jede beantworten können.

Partnerinhalte

Bitte erlauben Sie Javascript, um die volle Funktionalität von Spektrum.de zu erhalten.