Lexikon der Optik: Nijboer-Zernike-Koeffizienten
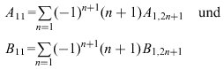
Nijboer-Zernike-Koeffizienten, Aberrationskoeffizienten Aik und Bik der Entwicklung der Wellenaberration![]()
nach den Zernikeschen Kreispolynomen![]()
. Dabei bezeichnen σ ![]()
die relative Pupillenhöhe und ϕ ![]()
das Pupillenazimut. Bei rotationssymmetrischen zentrierten optischen Systemen verschwinden die Bik. Die N. sind wie die ![]()
einzelnen Aberrationen zuzuordnen; m=0 bzw. 1 oder 2 entspricht sphärischer Aberration bzw. Koma oder Astigmatismus. Die die Definitionshelligkeit bestimmende mittlere quadratische Deformation der Wellenfläche![]()
entspricht der gewichteten Quadratsumme der N.:
.
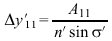
Die N. A02 bzw.
beschreiben die Defokussierung![]()
bzw. die wellenoptische Verzeichnung, d.h. die meridionale und die sagittale Verschiebung ![]()
und ![]()
des Maximums der Punktbildverwaschungsfunktion gegenüber dem durch den Hauptstrahl definierten Bildpunkt. Dabei bezeichnen n' und sinσ' die Bildraumbrechzahl und -apertur.
Wenn Sie inhaltliche Anmerkungen zu diesem Artikel haben, können Sie die Redaktion per E-Mail informieren. Wir lesen Ihre Zuschrift, bitten jedoch um Verständnis, dass wir nicht jede beantworten können.