Lexikon der Optik: optische Bistabilität
optische Bistabilität, die Erscheinung, daß sich optische Systeme bei ein und demselben Wert des Kontrollparameters in zwei – oder mehr (Multistabilität) – verschiedenen stationären Zuständen mit unterschiedlicher Ausgangsleistung befinden können. Notwendige Voraussetzung für das Auftreten von o. B. ist das Vorliegen einer Nichtlinearität in Form eines intensitätsabhängigen, im allgemeinen komplexen Brechungsindexes (Metallreflexion) sowie optische Rückkopplung, wie sie von einem optischen Resonator bewirkt wird. Je nach Art der ausgenutzten Nichtlinearität unterscheidet man zwischen absorptiver o. B. (verursacht durch den Imaginärteil des Brechungsindexes) und dispersiver o. B. (verursacht durch den Realteil des Brechungsindexes). Erfolgt die Rückkopplung rein optisch, spricht man von intrinsischen Systemen; ist das System über einen elektronischen Wandler rückgekoppelt, nennt man es hybrid. Ein Beispiel für ein hybrides bistabiles System stellt der elektrooptische Multivibrator (optischer Schmitt-Trigger) dar. Seine Wirkungsweise beruht auf der Veränderung der Wellenleiteigenschaften eines Wellenleiters bei Anlegen einer elektrischen Spannung (Abb. 1). Laserlicht wird in den Wellenleiter eingekoppelt, geleitet und ausgekoppelt. Ein Bruchteil der ausgekoppelten Strahlung wird mittels eines Strahlteilers auf einen Strahlungsempfänger geschickt, in ein elektrisches Signal umgewandelt und verstärkt. Die den Elektroden zugeführte elektrische Spannung wirkt als elektrische Rückkopplung. Befindet sich der Wellenleiter im Zustand hoher Transmission, wird der Kondensator während einer bestimmten Zeitspanne bis auf eine kritische Spannung aufgeladen, bei der Wellenleitung nicht mehr stattfinden kann. Bei Vorliegen geringer Transmission wird der Kondensator über den anderen Widerstand des Verstärkers solange entladen, bis die Spannung den Wert erreicht hat, bei dem optimale Wellenleitung, d.h. hohe Transmission möglich wird. Es kommt so zu einem ständigen Umschalten zwischen Zuständen unterschiedlicher optischer Transmission und damit zu einer Modulation des Lichtes. Hybride Systeme zeigen im Vergleich zu intrinsischen ein sehr langsames Schaltverhalten. Für den Einsatz in (noch zu entwickelnden) optischen Computern kommen daher nur die letzteren in Frage. Sie werden im folgenden vorgestellt. Im Gegensatz zu passiven Systemen enthalten aktive Systeme ein bezüglich der Besetzung der Energieniveaus invertiertes Medium (Besetzungsinversion).
Die o. B. fällt in das Gebiet kooperativer Phänomene offener Systeme, die sich nicht im thermodynamischen Gleichgewicht befinden. Sie kann mit einem Phasenübergang erster Art ähnlich dem, der beim Übergang von der gasförmigen in die flüssige Phase auftritt, in Verbindung gebracht werden.
Passive dispersive o. B. Diese läßt sich mit einem nichtlinearen Fabry-Perot-Interferometer verwirklichen (Abb. 2). Letzteres unterscheidet sich von einem üblichen Fabry-Perot-Interferometer dadurch, daß der Raum zwischen den beiden planparallelen Spiegeln von einem Medium erfüllt ist, dessen (reeller) Brechungsindex n von der Strahlungsintensität Ii im Resonator abhängt (nichtlinearer Brechungsindex). In erster Näherung kann man schreiben n(Ii)=n0+n2Ii (z.B. für ein Medium, das den optischen Kerr-Effekt zeigt), wobei n2 eine Materialkonstante von der Dimension W-1m2 bezeichnet. Durch Verwendung von Laserstrahlung erreicht man so hohe Intensitäten, daß die Intensitätsabhängigkeit des Brechungsindexes tatsächlich merklich wird.
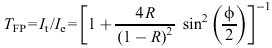
Das Transmissionsvermögen TFP, d.h. das Verhältnis von durchgelassener Intensität It zu einfallender Intensität Ie, ist für ein Fabry-Perot-Interferometer durch die Airy-Formel![]()
(1)
gegeben (Fabry-Perot-Interferometer). Dabei bezeichnen R das Reflexionsvermögen der (als verlustfrei angenommenen) Spiegel und φ die Phasenverschiebung, die bei einem vollen Umlauf im Resonator (Hin- und Rücklauf zwischen den Spiegeln) auftritt. Bei senkrechtem Lichteinfall gilt φ=4πln/λ mit l als Spiegelabstand und λ als Wellenlänge des eingestrahlten Lichtes. Ist der Resonator auf die einfallende Strahlung abgestimmt – dies ist der Fall für φ=2mπ, wobei m eine (große) ganze Zahl bezeichnet –, so findet im Resonator eine Resonanzüberhöhung statt: Die Intensität im Resonator ist um den Faktor (1-R)-1 größer als die einfallende. Dieser Umstand begünstigt offenbar das Auftreten nichtlinearer Effekte. Wegen der o.g. Nichtlinearität des Brechungsindexes wird die Phasenverschiebung intensitätsabhängig, was, wie im folgenden erläutert wird, zu bistabilem Verhalten führen kann. Wir setzen voraus, daß für Ii=0 bereits eine Verstimmung des Resonators, ausgedrückt durch eine Abweichung der Phasendifferenz vom Resonanzwert 2mπ um den Wert β0, vorliegt. Dann können wir schreiben![]()
(2)
mit β2=4πn2l/(1-R)λ (unter Beachtung der Beziehung It=(1-R)Ii). Diese Intensitätsabhängigkeit von φ kann so interpretiert werden, daß bei Intensitätsänderung des einfallenden Lichtes der nichtlineare Brechungsindex die optische Länge des Resonators und damit dessen Eigenfrequenzen ändert. Daher wird das nichtlineare Fabry-Perot-Interferometer für ansteigende Werte von Ie so abgestimmt, als ob die Resonatorlänge variiert würde. Die Austrittsintensität It ergibt sich als Funktion der Eintrittsintensität Ie durch Auflösung von (1) – mit φ gemäß (2) – nach It. Dies geschieht auf graphischem Wege, indem man die Airy-Funktion (rechte Seite von (1)) mit der Geraden TFP=It/Ie zum Schnitt bringt, wobei Ie als vorgegebener Parameter anzusehen ist (Abb. 3). Bei geeignet gewählten Werten der Parameter β0, β2 und R kann es mehrere Lösungen (Schnittpunkte) geben, es liegt dann also Bi- bzw. Multistabilität vor. Dieser Sachverhalt wird an Hand von Abb. 4 noch deutlicher. Hier ist It als Funktion von Ie aufgetragen, wobei die Werte aus Abb. 3 übernommen wurden. Bei kleiner Eingangsintensität ist der nichtlineare (z.B. Kerr-)Effekt des Mediums vernachlässigbar. Die Frequenzverstimmung β0≠0 führt auf eine kleine transmittierte Intensität. Wird Ie vergrößert, wächst auch Ii. Die Austrittsintensität It bleibt jedoch gering so lange, bis der Punkt A in Abb. 3 erreicht wird. Dort setzt ein lawinenartiges Anwachsen der transmittierten Intensität ein (Aufsprung), da sich mit wachsendem Ii im (Kerr-)aktiven Medium die optische Länge des Resonators so ändert, daß sich seine Resonanzfrequenz in Richtung auf die Frequenz der einfallenden (Laser)-Strahlung zu bewegt, was zu einer Erhöhung von Ii und damit zu einer weiteren Verschiebung der Resonanzfrequenz führt (positive Rückkopplung). Das System springt von A nach B. Verringert man Ie, so verschiebt man das System auf dem stabilen Zweig so lange, bis der Punkt C erreicht ist. Die unmittelbare (linke) Nähe dieses Punktes bezeichnet die Grenze des Stabilitätsbereiches, von hier aus springt das System bei weiterer Abnahme von Ie in den Zustand geringer Transmission zurück (Punkt D). Das dynamische Verhalten des Systems während des Auf- und Absprungs ist dadurch gekennzeichnet, daß die sprunghaften Intensitätsänderungen ohne äußere Einwirkung ablaufen. Der stabile Bereich hoher Transmission wird als oberer Hysteresezweig, der stabile Bereich geringer Transmission als unterer Hysteresezweig des bistabilen Systems bezeichnet. Bei entsprechend hoher Eingangsintensität vermag das System höher liegende Hysteresezweige zu durchlaufen (Abb. 4).
Für das Auftreten des geschilderten bi- und multistabilen Verhaltens des Systems ist es notwendig, daß die Nichtlinearität des Brechungsindexes die Anfangsverstimmung (bei Ie=0) vermindert; das bedeutet, β0 und β2 müssen das gleiche Vorzeichen besitzen. Des weiteren muß gelten ![]()
. Dies besagt, daß die Anfangsverstimmung β0 und damit auch die zuRihrer Kompensation erforderliche intensitätsabhängige Phasenverschiebung β2It mit zunehmendem Reflexionsvermögen R der Resonatorspiegel kleiner gemacht werden können. Die Verschiebung der Durchlässigkeitskurve des Interferometers durch Änderung des intensitätsabhängigen Brechungsindexes zeigt Abb. 5. Für die Funktionsweise bistabiler Systeme ist die Berücksichtigung von Intensitätsschwankungen der einfallenden Strahlung von Wichtigkeit, da diese bei hinreichender Größe zu unkontrollierbaren Sprüngen zwischen den Zweigen der Hysteresekurve führen. Dieser Effekt ist für alle Anwendungsfälle störend. Aus diesem Grunde wird für bistabile Anordnungen eine Halteintensität angegeben, das ist die einfallende Intensität, für die die Sprungwahrscheinlichkeit minimal ist.
Maßgeblich für das dynamische Verhalten des Systems, d.h. den Übergang zwischen den stationären Zuständen (Hysteresezweigen) sind charakteristische Zeitkonstanten. Diese sind ausschlaggebend für die Schaltgeschwindigkeit und geben Aufschlüsse über die Natur (Stabilität, Instabilität) des erreichten Endzustandes. Im einfachsten Falle hat das System zwei Zeitkonstanten τM und τF, die charakteristisch für die Reaktionsgeschwindigkeit des Mediums bzw. der Rückkopplung sind. In erster Näherung gilt τF=τU/1-R, wobei τU=2n0l/c die Umlaufzeit im Resonator ist (c Lichtgeschwindigkeit im Vakuum). Die Schaltzeit wird im allgemeinen durch die größere der beiden Zeitkonstanten bestimmt. Stabilität und Instabilität der stationären Zustände verdeutlicht Abb. 4. Nähert man sich der (oberen) Bistabilitätsschwelle A von kleineren Werten Ie her, wird der stabile Zustand geringer Transmission instabil. Das gleiche widerfährt dem Zustand hoher Transmission bei Annäherung an C von größeren Ie-Werten her.
Optisch bistabile Systeme, die in der Klasse allgemeiner nichtlinearer Systeme enthalten sind, zeigen Sequenzen von Instabilitäten. Solche Folgen, bei denen abwechselnd der jeweils erreichte stationäre Zustand instabil wird, werden vom System bei Änderung äußerer (Kontroll-)Parameter durchlaufen. Kontrollparameter sind das einfallende Feld und/oder die Resonatorlänge. Nach Durchlaufen einer Reihe von Instabilitäten existieren keine stationären Zustände mehr, das System zeigt dann oszillatorisches Verhalten, welches entweder regulär (zeitlich streng periodisch) oder irregulär (aperiodisch) sein kann. Letzteres wird als chaotisch oder (optisch) turbulent bezeichnet. Oszillatorisches Verhalten (Pulsieren) der Intensität wird selbst für konstant gehaltene Kontrollparameter beobachtet. Es entwickelt sich spontan aufgrund der Selbstorganisation des Systems (Selbstpulsieren). Der Anwendungsbereich regulären Selbstpulsierens liegt in der Möglichkeit, kohärentes Gleichlicht in kohärente Lichtimpulse umzuwandeln. Der zeitliche Verlauf chaotischer Oszillation erinnert stark an das Erscheinungsbild von Intensitätsfluktuationen aufgrund von Rauschen im System. Tatsächlich ist das chaotische Verhalten jedoch nicht durch Rauschen verursacht, da es von einer deterministischen (fluktuationsfreien) Theorie beschrieben wird. Aus diesem Grunde spricht man von deterministischem Chaos. Es gibt verschiedene Wege, um zu chaotischem Verhalten zu kommen, einer der bekanntesten führt über ständige Periodenverdopplung. Ausgehend von einem Zustand, bei dem die Lichtintensität mit einer Frequenz f moduliert ist, wird bei Vergrößerung eines Kontrollparameters ein Instabilitätspunkt erreicht; das System geht in einen anderen Oszillationszustand über, der die doppelte Periode besitzt. Für die Fourier-Transformierte des Zeitverlaufs (Intensitätsspektrum) bedeutet Periodenverdopplung das Auftreten der Subharmonischen (Frequenz f/2). Wird der Kontrollparameter weiter vergrößert, wiederholt sich der Ablauf. Die Periode verdoppelt sich erneut, so daß die Intensität mit der nächst höheren Subharmonischen (Frequenz f/4) oszilliert, und so geht es immer weiter. Dabei strebt das Verhältnis zwischen den Intervallen des Kontrollparameters, bei denen die N-te bzw. die (N+1)-te Subharmonische vorliegt, im Limes N →∞ gegen den Wert 4,6692... (Feigenbaums universelle Konstante). In praxi sorgen jedoch die stets vorhandenen Intensitätsschwankungen in der Eingangsstrahlung dafür, daß man die Änderung des Kontrollparameters nicht beliebig fein machen kann. Daher lassen sich nur wenige Periodenverdopplungen tatsächlich beobachten. Anschließend geht das System in einen irregulären Zustand über.
Ist die einfallende Strahlung zunächst abgeschaltet und wird dann plötzlich eingeschaltet, so kann der obere Hysteresezweig erreicht werden, wenn Ie größer ist als I''e (Abb. 4). Ist Ie nur wenig größer als dieser Schwellenwert, kann die Zeit, die nötig ist, den Zustand hoher Transmission zu erreichen, beträchtlich verlängert sein. Man spricht dann von kritischer Verlangsamung (engl. critical slowing down). Multistabilität, irreguläre Oszillationen, Periodenverdopplung, Chaos und kritische Verlangsamung sind für Anwendungsprobleme eher störend, lassen sich aber durch geeignete Wahl der Kontrollparameter relativ einfach unterdrücken. Optisch bistabile Systeme haben sämtliche für die Entwicklung eines optischen Computers erforderlichen Eigenschaften. Sie können als Verstärker, optische Transistoren, Speicher, Clipper u.a. konstruiert werden (Abb. 6 bis 11). Sie erlauben des weiteren die Realisierung optischer Logikelemente. Man überlagert zu diesem Zweck an ihrem Eingang einen Lichtstrahl mit einstellbarer konstanter Intensität mit zwei Folgen von gleichartigen Lichtimpulsen, die binäre Daten repräsentieren. Je nach Wahl des Haltewertes der Insität verwirklicht die Anordnung die logische Funktion UND bzw. ODER (Abb. 12). Ein Ausgangsimpuls wird im ersten Fall nur dann erzeugt, wenn zwei Impulse gleichzeitig eintreffen, im zweiten Fall jedoch auch dann schon, wenn nur ein Impuls ankommt. Die Tabelle listet mögliche bistabile Systeme zusammen mit ihren charakteristischen Größen auf.
Aktive intrinsische o. B. Im Unterschied zu passiv intrinsischen bistabilen Systemen, bei denen sich die Quelle für das einfallende Licht (Laser) außerhalb des nichtlinearen Resonators befindet, enthalten aktive intrinsische Systeme die Lichtquelle als wesentlichen Bestandteil. In diesem Falle wirkt das Licht im Resonator auf die Quelle zurück. Ein bistabiles (aktives) Lasersystem besteht beispielsweise aus einem Medium, in dem sich durch äußere Energiezufuhr (Pumpen) eine Besetzungsinversion erzeugen läßt und einem sättigbaren Absorber (Absorption), die in einem gemeinsamen Resonator untergebracht sind (Abb. 13). Eine andere Möglichkeit besteht darin, an den aktiven Resonator einen zweiten, leeren Resonator anzukoppeln (Abb. 14). Dieser Resonator wird von dem Spiegel S2 und dem Gitter S3 gebildet, das Frequenzselektion und Abstimmbarkeit ermöglicht. Kontrollgrößen sind in diesem Falle Pumpleistung, spektrale Lage des vom Gitter selektierten Frequenzbereiches und die Länge des externen Resonators. Innerhalb eines gewissen Variationsbereiches des Kontrollparameters K erhält man zwei stabile Zustände mit unterschiedlicher Ausgangsintensität Ia, deren Wert auf den Kurventeilen D-A bzw. C-B liegt (Abb. 15). Welcher der beiden Werte Ia hinter dem Auskoppelspiegel S1 gemessen wird, hängt von der Vorgeschichte des Systems ab. Der untere Zweig D-A des Hysteresezyklus bestimmt die Ausgangsleistung, wenn K, von K<K1 beginnend, nach K2 läuft, während der obere Zweig B-C die von Ia angenommenen Werte festlegt, wenn K, von K>K2 ausgehend, auf K1 zurückgeführt wird. Die beiden stabilen Zustände gehören zu verschiedenen Werten interner Größen des Lasersystems. In Abb. 13 handelt es sich dabei hauptsächlich um den Sättigungszustand des Absorbers (ungesättigt im unteren Hysteresezweig, stark gesättigt im oberen). Man spricht daher von absorptiver o. B. Die wesentliche Größe in Abb. 14 ist der Brechungsindex des verstärkenden Mediums (dispersive o. B.). Eine scharfe Trennung zwischen absorptivem und dispersivem Verhalten ist allgemein nicht möglich, da z.B. der Sättigungseffekt des Verstärkers nicht vernachlässigbar ist.
Für Anordnungen gemäß Abb. 14 werden als Verstärkermedien Halbleitermaterialien (Halbleiterlaser) verwendet. Für GaAlAs als aktives Medium liegt die Einschaltzeit (A→B in Abb. 15) bei einigen τU, die Ausschaltzeit (C→D) bei τU, wobei τU die Umlaufszeit im Resonator S1-S3 bezeichnet.
Die Schaltenergie beträgt bei Verwendung von Stromimpulsen etwa 10-11 Ws. Schaltzeiten für integrierte Anordnungen (Laser, äußerer Resonator) dürften bei <100 ps (ein) bzw. <10 ps (aus) liegen.


Optische Bistabilität 1: Elektrooptischer Multivibrator (Schmitt-Trigger). 1 Ti-diffundierter LiNbO3-Wellenleiter, 2 vordere Elektrode, 3 Strahlteiler, 4 optisch-elektrischer Umsetzer und Verstärker, Lein einfallendes Laserlicht, Laus austretendes Licht, U elektrische Spannung, C Kondensator, ---- elektrische Rückkopplung.

Optische Bistabilität 3: Transmissionsvermögen TFP eines nichtlinearen Fabry-Perot-Interferometers als Funktion der transmittierten Intensität It gemäß (1) (Kurve). Die Schnittpunkte A, B, A`, B`, C, D sind mögliche Arbeitspunkte des Systems für 2 verschiedene Eingangsintensitäten I'e, I''e (It in willkürlichen Einheiten).

Optische Bistabilität 4: Ausgangsintensität It als Funktion der Eingangsintensität Ie. A, B, C, D entsprechen Abb. 3. Die Pfeile kennzeichnen Sprungstellen. Gestrichelte Kurvenabschnitte bezeichnen instabile Bereiche. (Ie, It in willkürlichen Einheiten).

Optische Bistabilität 5: Durchlässigkeitskurve des nichtlinearen Fabry-Perot-Interferometers an verschiedenen Arbeitspunkten A, B, C, D (gemäß Abbn. 3, 4). ν Frequenz, νe Frequenz der einfallenden (Laser-)Strahlung. An der Stelle m beträgt die bei einem Umlauf im Resonator auftretende Phasenverschiebung 2πm usf.

Optische Bistabilität 6: Funktionsprinzip eines bistabilen optischen Systems, das als steuerbarer Schalter und/oder als optisches Gedächtnis wirkt. Die Eingangsintensität Ie als Funktion der Zeit t ist im unteren rechten Quadranten gezeigt. Die Ausgangsintensität It als Funktion von t ist im linken oberen Quadranten, die Kennlinie des Systems im rechten oberen Quadranten dargestellt.

Optische Bistabilität 7: Optische Triode oder Impulsverstärker (Erläuterung s. Abb. 6).









Wenn Sie inhaltliche Anmerkungen zu diesem Artikel haben, können Sie die Redaktion per E-Mail informieren. Wir lesen Ihre Zuschrift, bitten jedoch um Verständnis, dass wir nicht jede beantworten können.