Lexikon der Optik: optischer Resonator
optischer Resonator, ein aus mehreren (im Normalfall zwei) Spiegeln bestehendes System, in dem sich nur Strahlungsfelder mit ausgezeichneten Feldverteilungen und Frequenzen, die Resonatoreigenschwingungen oder Resonatormoden (Moden), ausbilden können. Die zu den Moden gehörigen Frequenzen werden als Eigenfrequenzen des o. R. oder Resonatorfrequenzen bezeichnet. Die Spiegel sind in guter Näherung ideal leitend. Sie erzwingen damit das Verschwinden der Tangentialkomponente der elektrischen Feldstärke auf den Spiegeloberflächen und unterwerfen so das elektromagnetische Feld im Resonator festen Randbedingungen. Abb. 1 zeigt schematisch eine typische Anordnung für einen o. R. Die Resonatormoden haben den Charakter stehender Wellen, bei denen die elektrische und die magnetische Feldstärke transversal zur Resonatorachse schwingen.
Die einfachsten möglichen Feldverteilungen sind von der Art Gaußscher Bündel. Sie sind daher rotationssymmetrisch bezüglich der Resonatorachse (z-Richtung), und das Feld ist in Achsennähe konzentriert. Dieser Typ von Eigenschwingungen wird Grundmode oder Grundmodus genannt. Aus der Randbedingung kann man schließen, daß der Spiegelabstand L in guter Näherung ein ganzzahliges Vielfaches q der halben Wellenlänge ist: L=q·λ/2. Damit ergeben sich die möglichen Eigenfrequenzen zu:![]()
(1)
mit c als Lichtgeschwindigkeit. Genauere Rechnungen liefern noch einen nur von der Resonatorgeometrie abhängigen Korrekturterm. Zu jedem festen Wert von q sind noch weitere unterschiedliche Feldverteilungen möglich, die von den x, y-Koordinaten abhängen und durch Indizes m, n unterschieden werden; m=n=0 kennzeichnet die Grundmode. In Anlehnung an die Mikrowellentheorie werden die Moden mit TEMmn (Abk. für transversale elektromagnetische Mode) bezeichnet. Die transversale Struktur der Moden (Abb. 2) hat eine geringfügige Veränderung der Eigenfrequenz im Vergleich zu der entsprechenden Grundmode zur Folge. Generell kann für die Eigenfrequenzen geschrieben werden:![]()
. (2)
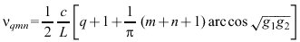
Speziell für einen aus zwei sphärischen Spiegeln mit den Krümmungsradien R1 bzw. R2 bestehenden o. R. lauten die Eigenfrequenzen:![]()
(3)![]()
. (4)
Für festes m und n aber unterschiedliches q spricht man von Axial- oder Longitudinalmoden, für ein festes q aber unterschiedliches m oder n von Transversalmoden.
Aus (1) und (2) ergibt sich, wenn man noch die Unabhängigkeit des erwähnten Korrekturterms zu (1) von q berücksichtigt, der Frequenzabstand zweier benachbarter Longitudinalmoden exakt zu![]()
. (5)
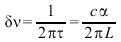
Da o. R. im Gegensatz zu den Mikrowellenresonatoren seitlich offen sind, treten an den Rändern der Resonatorspiegel Beugungsverluste auf. Diese hängen einerseits von der transversalen Modenstruktur ab (sie wachsen mit größer werdenden Werten von m und n), andererseits von den Resonatordimensionen. Diese gehen nur in der Kombination N=a2/(4λL) (Fresnel-Zahl) mit a als Spiegeldurchmesser ein. Die Beugungsverluste nehmen mit wachsender Fresnel-Zahl ab. Zu den Beugungsverlusten kommen noch die -normalerweise überwiegenden – Auskoppelverluste hinzu, die durch die endliche, letztlich erwünschte Durchlässigkeit der Resonatorspiegel bedingt sind. Die Resonatorverluste haben zur Folge, daß die Feldverteilung einer anfänglich angeregten Mode gemäß einem Exponentialgesetz exp(-t/2τ) abklingt. Die Größe τ kann dabei als mittlere Aufenthaltsdauer eines Photons im o. R. interpretiert werden. Bezeichnet man mit α die relativen Gesamtverluste, die das Strahlungsfeld während der Zeit L/c erleidet, so gilt![]()
. (6)
Die Dämpfung des Strahlungsfeldes hat eine endliche Linienbreite δν der Eigenfrequenzen zur Folge, für die gilt:![]()
(7)
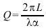
woraus sich für den durch die Beziehung ν/δν=Q definierten Gütefaktor des o. R. der Ausdruck![]()
ergibt.
Die bisherigen Feststellungen bezogen sich auf stabile o. R., d.h. solche, bei denen die Feldstärke auf einen kleinen Bereich um die Resonatorachse konzentriert ist. Bei einem instabilen o. R. ist hingegen die Feldverteilung stark aufgeweitet. Die Lichtstrahlen (im Sinne der geometrischen Optik) gelangen bei ihrem Hin- und Herlauf zwischen den Spiegeln immer weiter nach außen und verlassen schließlich den o. R. an einem der Spiegelränder. Instabile o. R. haben daher große Verluste. Theoretisch wurde für o. R. mit sphärischen Spiegeln das folgende Stabilitätskriterium abgeleitet. Sie sind stabil, wenn gilt 0<g1g2 <1 (gi gemäß (4)), andernfalls sind sie instabil.
Neben den o. R. mit Eigenschwingungen vom Typ stehender Wellen haben auch Ringresonatoren praktische Bedeutung. Bei diesen gibt es zu jeder Eigenfrequenz zwei Moden in Gestalt laufender Wellen, die sich nur in ihrer Umlaufrichtung unterscheiden und getrennt ausgekoppelt werden können (Abb. 3).
O. R. sind ein wichtiger Bestandteil der Laser. Die Anregung der Resonatormoden erfolgt dabei durch induzierte Emission im Lasermedium, das sich innerhalb des o. R. befindet. Der o. R. bewirkt eine optische Rückkopplung der emittierten Strahlung. Wesentlich für den Laserbetrieb und die Eigenschaften der Laserstrahlung ist, daß einerseits wegen des relativ großen Frequenzabstandes (5) der Longitudinalmoden nur wenige solcher Moden in das Verstärkungsprofil des Lasers fallen und andererseits nur wenige Transversalmoden die erforderlichen geringen Beugungsverluste besitzen, so daß der Laser nur in einer geringen Zahl von Moden oszillieren kann.
Die aus (1) und (3) ersichtliche Abhängigkeit der Eigenfrequenzen von der Resonatorlänge L bedeutet, daß mechanische Störungen des Laseraufbaus zu zufälligen Schwankungen der Frequenz der Laserstrahlung im Einmodenbetrieb führen.

Optischer Resonator 1: Ein von zwei sphärischen Spiegeln gebildeter Resonator.


Wenn Sie inhaltliche Anmerkungen zu diesem Artikel haben, können Sie die Redaktion per E-Mail informieren. Wir lesen Ihre Zuschrift, bitten jedoch um Verständnis, dass wir nicht jede beantworten können.