Lexikon der Optik: Oszillatorstärke
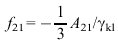
Oszillatorstärke, f-Wert, ein in der Spektroskopie übliches Maß für die Stärke einer Emissions- bzw. Absorptionslinie. Die O. ist eine dimensionslose Zahl, die sich durch Vergleich der Emissions- bzw. Absorptionsrate eines Atoms oder Moleküls mit der entsprechenden Rate γkl für einen klassischen Oszillator (elastisch gebundenes Elektron) ergibt. Man definiert die O. für Emission, f21, durch die Beziehung![]()
wobei A21 den Einstein-Koeffizienten für spontane Emission bezeichnet. Dabei ist γkl gegeben durch γkl=e2(2πνr)2/(6πε0mc3). Hier bedeuten νr die (durch den Niveauabstand, in Einheiten des Planckschen Wirkungsquantums h, gegebene) Resonanzfrequenz des atomaren Systems, also die Ausstrahlungsfrequenz, e die elektrische Ladung und m die Masse des Elektrons, c die Lichtgeschwindigkeit und ε0 die Dielektrizitätskonstante des Vakuums. Die O. für Absorption, f12, hängt mit f21 vermöge der Relation f12=-(g2/g1) f21 zusammen, wobei g1 und g2 den Entartungsgrad (Zahl der Unterniveaus) des unteren bzw. oberen Niveaus bedeuten. Setzt man für A21 den aus der Quantentheorie folgenden Wert ein, so ergibt sich für f12 der Ausdruck
(Erläuterung der Bezeichnungen Einstein-Koeffizient). Das Produkt g1f12(=-g2f21) wird als gf-Wert bezeichnet. Diese Werte wurden für viele atomare Übergänge in Tabellen zusammengestellt.
Wenn Sie inhaltliche Anmerkungen zu diesem Artikel haben, können Sie die Redaktion per E-Mail informieren. Wir lesen Ihre Zuschrift, bitten jedoch um Verständnis, dass wir nicht jede beantworten können.