Direkt zum Inhalt

Lexikon der Optik: paraxiale Abbildung

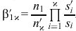
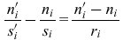
paraxiale Abbildung, optische Abbildung axialsymmetrischer, zentrierter optischer Systeme durch achsennahe Strahlen im paraxialen Gebiet, die der Gaußschen Abbildung entspricht und deshalb keine Aberrationen hat. Für die p. A. einer Fläche i mit dem Scheitelradius ri existiert die Abbesche Invariante, und es gilt die daraus folgende Abbildungsgleichung


mit si und s'i bzw. ni und n'i als paraxiale Schnittweiten bzw. Brechzahlen im Objekt- und Bildraum. Die Schnittweiten s'i und si+1 zweier im Abstand d'i benachbarter Flächen i und i+1 sind durch die Beziehung s'i-d'i=si+1 miteinander verknüpft. Für ein Κ-flächiges optisches System sind die paraxiale Brennweite (Brennebene)

und der paraxiale Abbildungsmaßstab

. Die paraxialen Bildpunkte (und die paraxiale Bildebene) werden auch als Gaußsche Bildpunkte (und Bildebene) bezeichnet.

  • Die Autoren
Roland Barth, Jena
Dr. Artur Bärwolff, Berlin
Dr. Lothar Bauch, Frankfurt / Oder
Hans G. Beck, Jena
Joachim Bergner, Jena
Dr. Andreas Berke, Köln
Dr. Hermann Besen, Jena
Prof. Dr. Jürgen Beuthan, Berlin
Dr. Andreas Bode, Planegg
Prof. Dr. Joachim Bohm, Berlin
Prof. Dr. Witlof Brunner, Zeuthen
Dr. Eberhard Dietzsch, Jena
Kurt Enz, Berlin
Prof. Joachim Epperlein, Wilkau-Haßlau
Prof. Dr. Heinz Falk, Kleve
Dr. Wieland Feist, Jena
Dr. Peter Fichtner, Jena
Dr. Ficker, Karlsfeld
Dr. Peter Glas, Berlin
Dr. Hartmut Gunkel, Berlin
Dr. Reiner Güther, Berlin
Dr. Volker Guyenot, Jena
Dr. Hacker, Jena
Dipl.-Phys. Jürgen Heise, Jena
Dr. Erwin Hoffmann, Berlin (Adlershof)
Dr. Kuno Hoffmann, Berlin
Prof. Dr. Christian Hofmann, Jena
Wolfgang Högner, Tautenburg
Dipl.-Ing. Richard Hummel, Radebeul
Dr. Hans-Jürgen Jüpner, Berlin
Prof. Dr. W. Karthe, Jena
Dr. Siegfried Kessler, Jena
Dr. Horst König, Berlin
Prof. Dr. Sigurd Kusch, Berlin
Dr. Heiner Lammert, Mahlau
Dr. Albrecht Lau, Berlin
Dr. Kurt Lenz, Berlin
Dr. Christoph Ludwig, Hermsdorf (Thüringen)
Rolf Märtin, Jena
Ulrich Maxam, Rostock
Olaf Minet, Berlin
Dr. Robert Müller, Berlin
Prof. Dr. Gerhard Müller, Berlin
Günter Osten, Jena
Prof. Dr. Harry Paul, Zeuthen
Prof. Dr. Wolfgang Radloff, Berlin
Prof Dr. Karl Regensburger, Dresden
Dr. Werner Reichel, Jena
Rolf Riekher, Berlin
Dr. Horst Riesenberg, Jena
Dr. Rolf Röseler, Berlin
Günther Schmuhl, Rathenow
Dr. Günter Schulz, Berlin
Prof. Dr. Johannes Schwider, Erlangen
Dr. Reiner Spolaczyk, Hamburg
Prof. Dr. Peter Süptitz, Berlin
Dr. Johannes Tilch, Berlin (Adlershof)
Dr. Joachim Tilgner, Berlin
Dr. Joachim Träger, Berlin (Waldesruh)
Dr. Bernd Weidner, Berlin
Ernst Werner, Jena
Prof. Dr. Ludwig Wieczorek, Berlin
Wolfgang Wilhelmi, Berlin
Olaf Ziemann, Berlin


Schreiben Sie uns!

Wenn Sie inhaltliche Anmerkungen zu diesem Artikel haben, können Sie die Redaktion per E-Mail informieren. Wir lesen Ihre Zuschrift, bitten jedoch um Verständnis, dass wir nicht jede beantworten können.

Partnerinhalte

Bitte erlauben Sie Javascript, um die volle Funktionalität von Spektrum.de zu erhalten.