Lexikon der Optik: Phase-shifting-Interferometrie
Phase-shifting-Interferometrie (phase shifting, engl., "phasenschiebend"), ein interferometrisches Verfahren, bei dem durch schrittweise Verstellung der Referenzphase eine hinreichende Anzahl von Intensitätswerten zur Bestimmung der durch einen Prüfling verursachten Phasenverschiebung gewonnen wird. Die Intensitätsmessung erfolgt mit einer Detektormatrix oder einem digitalisierten Vidikon. Die gemessenen Photospannungen bei der jeweiligen Referenzphaseneinstellung werden mit einem Analog/digital-Konverter (ADC) gewandelt und einem Rechner zugeführt. Die Abb. zeigt eine Prinzipanordnung mit einem piezoelektrisch verstellbaren Referenzspiegel und einem sphärischen Prüfling in einem Twyman-Green-Interferometer. Die Phase Φ(x,y) der vom Prüfling reflektierten Welle hängt mit der Intensität I(x, y) in folgender Weise zusammen: ![]()
, wobei ![]()
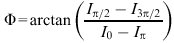
die mittlere Intensität, V(x,y) die Sichtbarkeit des Interferenzbildes und ϕ eine willkürlich wählbare Referenzphase bedeuten. Φ(x,y) kann aus I(x,y) bestimmt werden, wenn mindestens drei verschiedene Referenzphaseneinstellungen ϕ im Bereiche 0≤ϕ≤2π vorgenommen werden. Besonders symmetrisch wird die Auswertung, wenn für ϕ die Werte 0, π/2, π, 3π/2 gewählt werden. Die Phase φ ist dann bis auf ganzzahlige Vielfache von 2π gegeben durch ![]()
.
Ändert sich Φ um mehr als 2π in der Interferometerpupille, kann die Kenntnis der Phase an benachbarten Stellen zur Beseitigung von Phasensprüngen genutzt werden, wenn überall wenigstens zwei Abtastpunkte auf eine Streifenperiode entfallen. Die so erhaltene kontinuierliche Phasenfläche Φ(x,y) enthält aber noch Wellenaberrationen, die von Dejustierungen herrühren. Je nach Prüflingstyp sind verschiedene Wellenaberrationen aus den Φ-Daten zu eliminieren. Dazu eignet sich die Methode der kleinsten Quadrate, d.h., an die φ-Daten werden Funktionale der Form f(x,y) = a+bx+cy für Planflächen und f(x,y) = a+bx+cy+d (x2+y2) für sphärische Flächen und optische Systeme angepaßt. Die relevanten Phasenwerte sind dann die Abweichungen ![]()
(x,y)=Φ(x,y)-f(x,y).
Im Falle der Prüfung optischer abbildender Systeme lassen sich aus der Pupillenfunktion exp {i ![]()
(x,y)} die Punktbildverwaschungsfunktion und die Kontrastübertragungsfunktion durch ein- bzw. zweimalige Fourier-Transformation berechnen.

Wenn Sie inhaltliche Anmerkungen zu diesem Artikel haben, können Sie die Redaktion per E-Mail informieren. Wir lesen Ihre Zuschrift, bitten jedoch um Verständnis, dass wir nicht jede beantworten können.