Lexikon der Optik: photometrische Größen und Einheiten
photometrische Größen und Einheiten, lichttechnische Größen und Einheiten, in der Photometrie und der Lichttechnik verwendete Größen mit den entsprechenden Einheiten. Das System der p. G. u. E. bezieht die Eigenschaften des menschlichen Auges ein, um die Wahrnehmung der optischen Strahlung durch den Menschen als Licht zu beschreiben. Damit enthält dieses System eine physiologische Komponente.
Das menschliche Auge ist für optische Strahlung unterschiedlicher Wellenlänge unterschiedlich empfindlich. Diese Empfindlichkeit ist für das Tagessehen und das Nachtsehen verschieden, ändert sich in Abhängigkeit vom Alter und unterliegt Schwankungen infolge bestimmter Einflüsse auf den Körper (Vitaminhaushalt, Ermüdung u.a.).
Um angesichts dieser Umstände zu einer objektiven und einheitlichen Lichtmessung zu gelangen, wurden auf der Grundlage experimenteller Untersuchungen die Eigenschaften eines "mittleren Auges" definiert. Dies erfolgte 1924 durch die CIE, die den spektralen HellempfindlichkeitsgradV(λ) für das Tagessehen (photopisches Sehen, helladaptiertes Auge) international vereinbarte. Durch Interpolation und Extrapolation vervollständigt, wurden diese Werte 1972 vom Internationalen Komitee für Maß und Gewicht (CIPM) zur Anwendung empfohlen.
Ebenso bestätigte 1976 das CIPM die Werte des spektralen HellempfindlichkeitsgradesV'(λ) für das Nachtsehen (skotopisches Sehen, dunkeladaptiertes Auge), die 1951 von der CIE veröffentlicht wurden.
Für die Einheitlichkeit der Messungen ist die Definition einer Einheit notwendig. Die dafür gewählte Grundgröße war von Anfang an die Lichtstärke.
Die ersten Versuche ihrer Definition gehen auf die Mitte des 18. Jahrhunderts zurück. Erste Maßverkörperungen für die Einheit der Lichtstärke waren – dem Niveau der Lichterzeugung entsprechend – Wachskerzen, wovon sich auch der damals gebräuchliche Einheitsname "Kerze" ableitete.
Eine wesentliche Verbesserung, insbesondere was die Reproduzierbarkeit und die Konstanz angeht, brachte die 1884 von Hefner-Alteneck konstruierte und nach ihm benannte Hefner-Lampe, eine mit Isoamylacetat gespeiste Dochtlampe vorgegebener Abmessung. Die Flamme wurde auf eine Höhe von 40 mm eingestellt. Diese Lampe besaß definitionsgemäß in einer zur Flamme senkrechten Richtung die Lichtstärke 1 Hefner-Kerze (HK). Sie diente vor allem in Deutschland als Normal für eine einheitliche Lichtmessung und stellte im Gegensatz zu dem in Amerika, England und Frankreich verwendeten Satz von Kohlefadenlampen, deren Lichtstärke nach einer Festlegung der CIE vom Jahre 1921 die "Internationale Kerze" (engl. International Candle Power, ICP) war, ein echtes Primärnormal dar. Erst 1948 wurde durch die 9. Generalkonferenz für Maß und Gewicht (CGPM) eine einheitliche Definition der Einheit der Lichtstärke und der Einheitenname Candela (lat., "Wachskerze"), Zeichen cd, beschlossen. Sie wurde durch die Festlegung definiert, daß die Leuchtdichte eines schwarzen Strahlers bei der Temperatur von erstarrendem Platin 600000 cd/m2 beträgt. Sie ist heute Basiseinheit des Internationalen Einheitensystems (SI). Diese Definition galt bis zur 16. Generalkonferenz für Maß und Gewicht (CGPM) im Jahre 1979 und wurde dort durch die folgende abgelöst: "Die Candela ist die Lichtstärke in einer bestimmten Richtung einer Strahlungsquelle, die monochromatische Strahlung der Frequenz 540·1012 Hz aussendet und deren Strahlstärke in dieser Richtung ![]()
Watt je Steradiant beträgt". Damit wurde der Maximalwert des photometrischen Strahlungsäquivalentes zu Km=683 lm/W festgelegt und eine eindeutige, quantitative Beziehung zwischen den photometrischen (visuellen) Größen Xv und den Strahlungsgrößen (radiometrischen Größen) Xe hergestellt.
Die p. G. u. E. lauten im einzelnen wie folgt.
1) Lichtstrom (φ, φv). Darunter versteht man die aus der Strahlungsleistung φe einer Lichtquelle durch die Bewertung gemäß der V(λ)-Kurve hervorgehende Größe ![]()
(λ Wellenlänge), wobei φeλ=dφe/dλ die spektrale Dichte der Strahlungsleistung darstellt (photometrisches Strahlungsäquivalent). Die Einheit des Lichtstromes ist das Lumen (lm). Sie ist definiert als derjenige Lichtstrom, der von einer gleichförmigen punktförmigen Lichtquelle der Lichtstärke 1 Candela in die Raumwinkeleinheit (1 Steradiant, sr) ausgesandt wird. Wird nur die Ausstrahlung in einen bestimmten Raumwinkelbereich betrachtet, spricht man von einem Teillichtstrom.
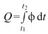
2) Lichtmenge oder Lichtarbeit (Q). Sie ist definiert als das Integral des Lichtstromes φ über die Zeit t![]()
.
Die Einheit ist die Lumensekunde (lms) oder auch die Lumenstunde (lmh).
3) Lichtstärke (I, Iv). Die Lichtstärke einer Strahlungsquelle in einer gegebenen Richtung ist der Quotient aus dem Lichtstrom dφ und dem Raumwinkelelement dΩ, in das der Lichtstrom ausgesandt wird, dφ/dΩ. Ihre Einheit ist die Candela (cd) [s.o.]. Es gilt 1 cd=1 lm sr-1. Verkörpert wird die Candela durch Lichtstärkenormale. Ist die Lichtstärke einer Lichtquelle in allen Richtungen gleich, so besteht zwischen Lichtstärke und Lichtstrom folgende einfache Beziehung: I = φ/(4π). Mit dieser Beziehung läßt sich generell eine mittlere Lichtstärke bestimmen.
4) Leuchtdichte (L, Lv). Sie ist ein spezifisches Maß für die Helligkeit einer selbstleuchtenden oder beleuchteten Fläche. Sie ist definiert als der Quotient aus der Lichtstärke einer Lichtquelle in einer gegebenen Richtung und der zur Ausstrahlungsrichtung senkrechten Projektion der strahlenden Fläche A.
Bezogen auf den Lichtstrom φ ergibt sie sich zu ![]()
mit ε als dem Winkel zwischen der Ausstrahlungsrichtung und der Normalen der strahlenden Fläche.
Die Einheit der Leuchtdichte ist cd/m2. Weitere ältere Einheiten sind: 
![]()
5) Beleuchtungsstärke (E, Ev). In einem Punkt einer Oberfläche ist die Beleuchtungsstärke der Quotient aus dem Lichtstrom dφ, der auf ein den Punkt enthaltendes Flächenelement fällt, und dem Inhalt dA dieses Flächenelements, E=dφ/dA. Die Einheit ist das Lux (lx), 1 lx=1 lm·m-2.
6) Spezifische Lichtausstrahlung oder spezifische Leuchtstärke. Sie ist ein Maß für die Dichte des von einem Punkt einer Oberfläche ausgehenden Lichtstroms. Sie ist definiert als der Quotient aus dem Lichtstrom dφ, der von einem diesen Punkt enthaltenden Flächenelement ausgeht, und der Fläche dieses Elementes dA, M=dφ/dA. Die Einheit ist lm·m-2.
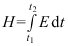
7) Belichtung (H). Diese Größe ergibt sich als das Integral der Beleuchtungsstärke E über die Zeit des Beleuchtungsvorgangs:![]()
.
Die Einheit ist die Luxsekunde (lxs), 1 lxs = 1 lm s m-2.
Wenn Sie inhaltliche Anmerkungen zu diesem Artikel haben, können Sie die Redaktion per E-Mail informieren. Wir lesen Ihre Zuschrift, bitten jedoch um Verständnis, dass wir nicht jede beantworten können.