Lexikon der Optik: photometrisches Grundgesetz
photometrisches Grundgesetz. Es besagt, daß der von einem Flächenelement dA1 auf ein zweites Flächenelement dA2 (z.B. Empfänger) übertragene Lichtstrom dφ proportional ist der Leuchtdichte L der strahlenden Fläche, ihrer Flächenprojektion dA1cosε1 senkrecht zur Ausstrahlungsrichtung sowie dem Raumwinkel dΩ1, der sich aus der Flächenprojektion von dA2 senkrecht zur Ausstrahlungsrichtung dA2cosε2 und dem Entfernungsquadrat r2 ergibt (Abb.). Es gilt![]()
Für endliche Flächen folgt daraus![]()
(ε1, ε2 Winkel zwischen den jeweiligen Flächennormalen und der Raumwinkelachse, Raumwinkel Ω0=1 sr).
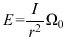
Aus dieser Beziehung läßt sich für punktartige Lichtquellen der folgende Zusammenhang zwischen ihrer Lichtstärke I und der in der Entfernung r erzeugten Beleuchtungsstärke E ableiten ![]()
Dieser Zusammenhang wird auch als photometrisches Entfernungsgesetz bezeichnet.

Photometrisches Grundgesetz: Strahlungsausbreitung zwischen zwei Flächenelementen. n1 und n2 Einheitsvektoren in Normalenrichtung.
Wenn Sie inhaltliche Anmerkungen zu diesem Artikel haben, können Sie die Redaktion per E-Mail informieren. Wir lesen Ihre Zuschrift, bitten jedoch um Verständnis, dass wir nicht jede beantworten können.