Lexikon der Optik: Photonenstatistik
Photonenstatistik, statistisches Verhalten der durch einfallendes Licht in einem Photodetektor ausgelösten Einzelereignisse. Der primäre Prozeß ist dabei die Freisetzung eines Elektrons infolge des Photoeffektes. Dieses ruft – nachdem es die Oberfläche der empfindlichen Schicht des Photomultipliers erreicht hat – über die Erzeugung von Sekundärelektronen ein meßbares (Strom- bzw. Spannungs-)Signal hervor. Die photoelektrische Ablösung eines Elektrons aus dem atomaren System ist mit der Aufnahme des Energiebetrages hν aus dem Strahlungsfeld verbunden, wobei h das Plancksche Wirkungsquantum und ν die Frequenz der Strahlung bezeichnen. Daher ist das Ansprechen eines Photomultipliers als Registrierung eines Photons aufzufassen, und die Statistik der einzelnen Meßereignisse spiegelt die der auf den Detektor fallenden Photonen wider.
1) Meßmethoden. Die grundlegende Messung ist die Photonenzählung, d.h. die Ermittlung der Zahl ni der in vielen, aufeinanderfolgenden Zeitintervallen i (=1, 2, ..., N) vorgegebener Länge T jeweils registrierten Photonen. Der Mittelwert dieser Zahlen
(1)
ergibt zunächst – bis auf einen konstanten Faktor – die mittlere Intensität der Strahlung. Die mittlere quadratische Streuung der Photonenzahl ist gegeben durch
(2)
Des weiteren läßt sich aus den Meßdaten das quadratische Mittel der Photonenzahl
(3)
berechnen. Entsprechend können auch höhere Momente ![]()
usw. bestimmt werden.
Eine weitere Möglichkeit der Auswertung der Meßdaten besteht darin, zeitliche Korrelationen der Form
(4)
auszurechnen.
In ähnlicher Weise lassen sich räumliche Korrelationen ermitteln, indem man zwei Detektoren an unterschiedlichen Orten r1 bzw. r2 aufstellt und aus den gemessenen Photonenzahlen ![]()
bzw. ![]()
die Größe
(5)
bildet.
Die genannten Mittelwerte (deren Berechnung in praxi auf elektronischem Wege vorgenommen wird) liefern wichtige Informationen über das untersuchte Strahlungsfeld. Voraussetzung ist allerdings, daß die Länge T des Meßintervalls kleiner ist als die Kohärenzlänge des Lichtes.
Die Auswertung der von einem Zähler gelieferten Meßdaten in Form von Photonenzahlen ni kann auch in der Weise erfolgen, daß man eine Verteilungsfunktion pn für die Photonenzahlen ermittelt, die angibt, mit welcher Häufigkeit alle möglichen Werte 0, 1, 2, ... der Photonenzahl vorgefunden wurden.
2) Messungen an thermischem und Laserlicht. Hierbei zeigt sich ein drastischer Unterschied der beiden Lichtarten. Das liegt daran, daß thermisches Licht dank des zufälligen Charakters der elementaren Emissionsprozesse (spontane Emission) in seiner Intensität sehr stark schwankt, während im Gegensatz dazu die Intensität eines (Einmoden-)Lasers zeitlich nahezu konstant ist. Demzufolge ist auch die Photonenverteilung pn in den beiden Fällen ganz verschieden. Nach der Theorie gilt für thermisches Licht![]()
(6)
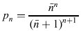
(Bose-Einstein-Verteilung) und für (ideales) Laserlicht![]()
(7)
(Poisson-Verteilung) (Abb. 1). Die Verteilung (6) ist (bei gleicher mittlerer Photonenzahl) deutlich breiter als eine Poisson-Verteilung. Man spricht daher von Super-Poisson-Statistik der Photonen. Entsprechend fluktuiert die Photonenzahl im ersten Falle sehr stark, im zweiten dagegen nur sehr wenig. Für das mittlere Schwankungsquadrat (2) der Photonenzahl gilt![]()
, (8)![]()
. (9)
Die Terme ![]()
in (8) und (9) sind dadurch bedingt, daß bei der Ablösung der einzelnen Photoelektronen Zufälligkeit im Spiele ist. Diese drückt sich darin aus, daß eine auf der Detektoroberfläche herrschende Intensität nur mit einer gewissen (außerordentlich geringen) Wahrscheinlichkeit ein Photoelektron an einem herausgegriffenen Atom des Detektors freisetzt. Die Zahl der registrierten Photonen schwankt aus diesem Grunde selbst bei Einstrahlung mit zeitlich konstanter Intensität. Den Termen ![]()
entspricht im Photostrom eines Detektors ein charakteristisches Rauschen, das als Schrotrauschen bezeichnet wird.
Die Vorhersagen (6)-(9) wurden experimentell sehr gut bestätigt. Darüber hinaus konnte an Laserstrahlung der während des Anlaufstadiums des Lasers vor sich gehende stetige Übergang von einer Bose-Einstein-Verteilung der Photonen zu einer Poisson-Verteilung beobachtet werden.
3) Koinzidenzzählung. Bei geringer Intensität der einfallenden Strahlung kann die Meßanordnung auch so abgewandelt werden, daß nur an zwei Detektoren zu beobachtende Koinzidenzen gezählt werden, d.h. solche Ereignisse, bei denen beide Detektoren entweder gleichzeitig ansprechen oder der eine eine vorgegebene Zeit τ später als der andere. Im zweiten Falle spricht man von verzögerten Koinzidenzen. Zu deren Messung verwendet man meist den Versuchsaufbau von R.H. Brown und R.Q. Twiss (Abb. 2), den beiden Pionieren der P. Dadurch, daß man den einfallenden Lichtstrahl in zwei einander äquivalente Teilstrahlen zerlegt und jeden von ihnen auf einen separaten Empfänger fallen läßt, erreicht man das gleiche, als wenn man zwei Empfänger am gleichen Orte aufstellen würde. Der zeitlichen Verzögerung wird bei der elektronischen Verarbeitung der Meßsignale Rechnung getragen. Die gemessene Koinzidenzzählrate ist dann, von einem Normierungsfaktor abgesehen, gleich der Korrelationsfunktion G(2)(r,r;τ) der Strahlung (Korrelationsfunktionen des Strahlungsfeldes). Ihre Messung ist sehr aufschlußreich. So zeigt sie für thermisches Licht ein ausgeprägtes Maximum an der Stelle τ=0 (Abb. 3), während sie für (ideales) Laserlicht unabhängig von τ ist. Auch hier besteht eine gute Übereinstimmung zwischen Theorie und Experiment. Der Kurvenverlauf in Abb. 3 für thermisches Licht läßt sich so interpretieren, daß die Photonen eine Tendenz zeigen, in Paaren aufzutreten. (Die Wahrscheinlichkeit, zwei Photonen in einem sehr kleinen vorgegebenen Zeitabstand zu registrieren, ist doppelt so groß wie im Falle eines großen.) Dieser Effekt wird im Englischen als photon bunching ("Anhäufelung von Photonen") bezeichnet. Auch er spiegelt die starken Intensitätsfluktuationen des thermischen Lichtes wider.
4) Anwendungen. Praktische Anwendungen der P. beruhen auf dem Umstand, daß aus der Halbwertsbreite Δτ der Korrelationsfunktion G(2)(r,r;τ) im Falle thermischen Lichtes auf die Linienbreite Δν der Strahlung geschlossen werden kann. Aus Abb. 3 ist ersichtlich, daß Δν im wesentlichen gleich dem Reziproken von Δτ ist. Damit eröffnet sich eine neue Möglichkeit der Spektroskopie. Da man bei großen Verzögerungszeiten τ gut messen kann, lassen sich so gerade die Frequenzspektren extrem schmalbandiger Strahlung sehr genau bestimmen. Die neue, als Photonenkorrelationsspektroskopie bezeichnete Methode stellt somit eine wertvolle Ergänzung der konventionellen spektroskopischen Verfahren dar, die sich besonders für die Messung größerer Linienbreiten und -abstände eignen.
Die Beziehung zwischen G(2)(r,r;τ) und der Frequenzverteilung ist, genau gesprochen, dadurch gegeben, daß G(2)(r,r;τ) (bei thermischem Licht) in der Form![]()
(10)
mit der Korrelationsfunktion 1. Ordnung zusammenhängt (Siegert-Beziehung), deren Fourier-Transformierte wiederum das Frequenzspektrum repräsentiert (Korrelationsfunktionen des Strahlungsfeldes).
Wichtig für die Messung ist, daß es sich um Licht mit thermischem Charakter handelt. Allerdings ist das Licht thermischer Quellen auch nach Filterung noch so breitbandig, daß die zeitliche Auflösung der verfügbaren Detektoren für die Messung nicht ausreicht. Dagegen eignet sich Licht, das durch Streuung von Laserlicht, vorwiegend an Suspensionen, entstanden ist und daher in der Art des thermischen Lichtes fluktuiert, sehr gut für photonenstatistische Untersuchungen. Aus der gemessenen zeitlichen Intensitätskorrelation G(2)(r,r;τ) lassen sich Rückschlüsse auf die Beschaffenheit des streuenden Mediums ziehen.
So kann man mit den (bis auf das Nachweisverfahren) gleichen experimentellen Anordnungen wie beim Laseranemometer laminare wie auch turbulente Strömungen durch Beobachtung des Streulichtes untersuchen. Wenn man das Streulicht mit einer Referenzwelle (Laserstrahlung) mischt, tritt an Stelle von (10) die Relation![]()
(11)
wobei U einen konstanten Untergrund bezeichnet.
Bei der Rayleigh-Streuung in reinen Flüssigkeiten führen statistische Temperaturfluktuationen mit einer charakteristischen Zeitdauer τc zu einer Linienbreite Δν≈(2π τc)-1 der Streustrahlung. Durch Messung der letzteren kann somit τc und daraus die Temperaturleitfähigkeit ermittelt werden.
In ähnlicher Weise lassen sich Diffusionskoeffizienten von Flüssigkeiten oder Flüssigkeitsgemischen bestimmen, indem man Streulichtmessungen an Makroteilchen durchführt, die in der Flüssigkeit suspendiert sind und eine Brownsche Bewegung ausführen.
5) Messung quantenmechanischer Effekte. In quantenmechanischer Beschreibung lassen sich verschiedene Zustände des Strahlungsfeldes angeben, die kein klassisches Analogon besitzen und daher spezifisch quantenmechanische, klassisch nicht erklärbare Effekte zeigen. Entsprechende Experimente sind in jüngster Zeit erfolgreich durchgeführt worden. Es handelt sich dabei um das Gegenstück zum photon bunching, das antibunching, und das eng damit zusammenhängende Auftreten einer Sub-Poisson-Statistik der Photonen.
a) Photon antibunching. Nach der Quantentheorie sind Strahlungsfeldzustände möglich, bei denen die Korrelationsfunktion G(2)(r,r;τ) an der Stelle τ=0 statt eines Maximums gerade ein Minimum aufweist. Dieser Effekt wurde von H.J. Kimble, M. Dagenais und L. Mandel 1977 zum ersten Male experimentell nachgewiesen. Beobachtet wurde die resonante Streuung von Laserlicht an jeweils einem einzigen Na-Atom (Resonanzfluoreszenz). Es wurde mit einem sehr verdünnten Atomstrahl gearbeitet und das Beobachtungsvolumen so klein gewählt, daß es in der Regel höchstens ein Atom enthielt. An dem Streulicht wurde eine Koinzidenzmessung gemäß Abb. 2 ausgeführt. Der springende Punkt ist, daß ein Atom nach Aussendung eines Photons eine bestimmte "Erholzeit" benötigt, bis es durch die intensive einfallende Welle erneut angeregt wird und somit ein weiteres Photon zu emittieren vermag. Daher können niemals zwei Photonen gleichzeitig ausgesandt und somit auch nicht nachgewiesen werden, d.h., für τ=0 treten theoretisch keine Koinzidenzen auf. Die experimentelle Kurve zeigt einen ausgeprägten Abfall für τ→0. Daß der theoretische Wert Null nicht erreicht wurde, ist dadurch bedingt, daß sich zu gewissen Zeiten zufällig mehr als ein Atom im Beobachtungsvolumen befand.
b) Sub-Poisson-Statistik. Mit einem ähnlichen experimentellen Aufbau konnten R. Short und L. Mandel 1983 auch zeigen, daß die von einem einzigen Atom gestreuten Photonen eine Verteilungsfunktion besitzen, die geringfügig schmäler ist als eine Poisson-Verteilung gleicher mittlerer Photonenzahl. Der gleiche Effekt konnte von M.C. Teich und B.E.A. Saleh 1985 an Licht nachgewiesen werden, das durch Stoß von Elektronen mit Hg-Atomen in einer Elektronenröhre (Franck-Hertz-Versuch) erzeugt wurde. Wegen ihrer gegenseitigen elektrostatischen (Coulomb-) Abstoßung gehorchen die Elektronen einer Sub-Poisson-Statistik. Diese überträgt sich, wenn auch in abgeschwächter Form, auf die ausgesandten Photonen.
In der Regel gehen Sub-Poisson-Statistik und photon antibunching Hand in Hand, und das gleiche gilt für Super-Poisson-Statistik und photon bunching.

Photonenstatistik 1: Bose-Einstein-Verteilung (a) und Poisson-Verteilung (b) bei einer mittleren Photonenzahl ![]()
(pn ist die Wahrscheinlichkeit, n Photonen vorzufinden).


Wenn Sie inhaltliche Anmerkungen zu diesem Artikel haben, können Sie die Redaktion per E-Mail informieren. Wir lesen Ihre Zuschrift, bitten jedoch um Verständnis, dass wir nicht jede beantworten können.