Lexikon der Optik: Planflächenabbildung
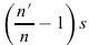
Planflächenabbildung, virtuelle optische Abbildung mit dem Abbildungsmaßstab 1 an brechenden und spiegelnden Planflächen, bei der im paraxialen Gebiet die Schnittweiten s' bzw. s und die Brechzahlen n' bzw. n im Bild- bzw. Objektraum durch s'=sn'/n bzw. bei Spiegelung durch s'=-s miteinander verknüpft sind. Das Bild wird dabei um ![]()
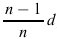
parallel zum Objekt versetzt (Abb. a). Bei der zweifachen P. an einer planparallelen Platte der Dicke d und der Brechzahl n entsteht eine von der Objektlage unabhängige Bildortversetzung um ![]()
,
da alle Strahlen nur um ![]()
parallel versetzt werden (Abb. b; ε und ε' Einfalls- und Ausfallswinkel).
Die P. ist bei Spiegelung aberrationsfrei und bei Brechung bezüglich sphärischer Aberration überkorrigiert. Bei geneigten Planflächen tritt Astigmatismus auf.

Planflächenabbildung: Virtuelle Abbildung durch eine Planfläche (a) und eine planparallele Platte (b). n und n' Brechzahlen.
Wenn Sie inhaltliche Anmerkungen zu diesem Artikel haben, können Sie die Redaktion per E-Mail informieren. Wir lesen Ihre Zuschrift, bitten jedoch um Verständnis, dass wir nicht jede beantworten können.