Lexikon der Optik: Polarisation
Polarisation, 1) P. des Lichtes, ein bestimmter Schwingungszustand einer Lichtwelle, gekennzeichnet durch die Bewegung, die der Lichtvektor, d.h. der Vektor E der elektrischen Feldstärke, in der zur Ausbreitungsrichtung senkrechten Ebene beschreibt. In natürlichem Licht, wie es konventionelle Lichtquellen – von technisch bedingten geringfügigen Abweichungen abgesehen – aussenden, gibt es keine bevorzugte Richtung für E, vielmehr finden schnelle, zufällige Richtungsänderungen statt. Man bezeichnet natürliches Licht daher als unpolarisiert. Aus solchem Licht läßt sich mit Hilfe eines Polarisatorslinear polarisiertes Licht herstellen. Bei ihm schwingt der Lichtvektor in einer festen Richtung. Diese Schwingungsrichtung definiert zusammen mit der Ausbreitungsrichtung die Schwingungsebene. Die dazu senkrechte Ebene heißt (aus nur historisch verständlichen Gründen) Polarisationsebene. Linear polarisiertes Licht wiederum läßt sich unter Verwendung eines Zirkularpolarisators in zirkular polarisiertes Licht verwandeln. Bei ihm beschreibt der Endpunkt von E eine Kreisbewegung. Je nachdem, ob diese Bewegung (betrachtet von einem Beobachter, auf den die Welle zuläuft) im Uhrzeigersinne oder in dazu entgegengesetztem Sinne erfolgt, spricht man von rechts oder links zirkularer P.
Die allgemeinste Form vollständiger P. ist die elliptische P. Dabei bewegt sich der Endpunkt von E auf einer Ellipse. Wählt man in der zur Ausbreitungsrichtung senkrechten Ebene (willkürlich) eine orthogonale Basis (x- und y-Richtung), so kann man sich eine beliebige Schwingungsbewegung des elektrischen Feldstärkevektors in die Partialschwingungen bezüglich der x- bzw. y-Achse zerlegt denken. Bezeichnen Ax, Ay die reellen Amplituden und δx, δy die Phasen dieser Partialschwingungen, so ist die Form der Gesamtschwingung durch das Verhältnis Ax/Ay und die relative Phase Δ=δx-δy gekennzeichnet. Ein allgemeiner elliptischer Polarisationszustand kann daher durch die sogenannten elliptischen Parameter ψ=arctan(Ax/Ay) und Δ beschrieben werden. Für den Spezialfall zirkular polarisierten Lichtes gilt Ax=Ay, Δ=±π/2; für linear polarisiertes Licht Δ=0 oder π (Ax und Ay beliebig).
Da der Endpunkt des elektrischen Feldstärkevektors in jedem Falle eine (eventuell entartete) Ellipse beschreibt, kann man auch deren charakteristische Parameter, nämlich ihre Orientierung und die Elliptizität, zur Kennzeichnung elliptisch polarisierten Lichtes verwenden. Die Orientierung wird durch den Winkel ω charakterisiert, den die große Hauptachse der Ellipse mit der x-Richtung einschließt, und die Elliptizität durch einen weiteren Winkel γ=arctan(b/a), wobei a die große und b die kleine Halbachse bedeuten (Abb. 1). Zwischen beiden Beschreibungsarten besteht der Zusammenhang![]()
(1)
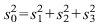
Eine weitere Charakterisierung kann über die Stokes-Parametersj (j=0, 1, 2, 3) erfolgen, die im photometrischen Ellipsometer direkt gemessen werden. Sie stehen, vollständig polarisiertes Licht vorausgesetzt, mit ψ und Δ in dem Zusammenhang![]()
und es gilt die Beziehung![]()
. (2)
Die Verknüpfungen der beiden Darstellungsarten und der Stokes-Parameter miteinander lassen sich an der Poincaré-Kugel verdeutlichen (Abb. 2).
Im allgemeinsten Falle ist das Licht partiell polarisiert, d.h., es setzt sich aus einem vollständig polarisierten und einem unpolarisierten Anteil zusammen. Die vollständige Kennzeichnung eines solchen Polarisationszustandes geschieht mit Hilfe der Kohärenzmatrix oder der Stokes-Parameter, wobei nun alle vier Stokes-Parameter benötigt werden. Diese lassen sich mit dem photometrischen Ellipsometer unter Verwendung eines Retarders bestimmen. Das Verhältnis der Intensität des polarisierten Anteils zur Gesamtintensität wird Polarisationsgrad genannt.
2) P. eines Mediums, nichtlineare Optik, Dispersionsformel.

Polarisation 1: Elliptisch polarisiertes Licht. Schwingungsellipse für den elektrischen Feldvektor.

Wenn Sie inhaltliche Anmerkungen zu diesem Artikel haben, können Sie die Redaktion per E-Mail informieren. Wir lesen Ihre Zuschrift, bitten jedoch um Verständnis, dass wir nicht jede beantworten können.