Lexikon der Optik: Polarisationsgrad
Polarisationsgrad, Verhältnis der Intensität des polarisierten Lichtanteils zur Gesamtintensität des Lichtes. Der P. P drückt sich durch die Stokes-Parametersi(i=0, 1, 2, 3) folgendermaßen aus![]()
. (1)
Unter Verwendung des Zusammenhanges zwischen den Stokes-Parametern und der Kohärenzmatrix J (Stokes-Parameter) kann dafür auch geschrieben werden
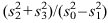
, (2)
wobei ||J||=JxxJyy-JxyJyx≥0 die Determinante der Kohärenzmatrix bezeichnet. Wenn letztere verschwindet, liegt vollständig polarisiertes Licht vor (P=1).
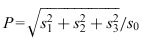
Bestehen nur statistisch zufällige Phasenbeziehungen zwischen den in der x- und der y-Richtung schwingenden Teilwellen (wechselseitige Inkohärenz der Teilwellen), so gilt Jxy=Jyx=0, und der P. lautet![]()
, (3)
wobei Ix(=Jxx) und Iy(=Jyy) die Intensitäten der beiden Teilwellen bezeichnen. Nur wenn diese Intensitäten außerdem gleich sind, ist das Licht vollständig unpolarisiert (P=0). In allen anderen Fällen 0<P<1 spricht man von partiell polarisiertem Licht.
In der Ellipsometrie ist es des öfteren so, daß im reflektierten Licht die Phasendifferenz zwischen der in der Einfallsebene schwingenden Komponente Ex der elektrischen Feldstärke und der senkrecht dazu schwingenden Komponente Ey, bedingt durch Unregelmäßigkeiten der reflektierenden Oberfläche, sich über den Bündelquerschnitt (statistisch oder systematisch) ändert, während das Intensitätsverhältnis Ix/Iy – und damit der ellipsometrische Winkel ψ (Ellipsometrie) – praktisch konstant bleibt. Der P. läßt sich dann in der Form![]()
(4)
schreiben, wobei der Querstrich eine Mittelung über den Bündelquerschnitt bedeutet. Für die Verkleinerung des P. ist dann die Abweichung der Größe ![]()
von ihrem Maximalwert Eins verantwortlich. Die genannte Größe selbst bestimmt sich aus den gemessenen vier Stokes-Parametern zu ![]()
.
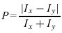
Der Effekt der Variation von Δ auf den P. ist am größten für cos2ψ=0, d.h. Ix=Iy. In diesem Falle lautet der P.![]()
. (5)
In der photometrischen Ellipsometrie ist es oft nützlich, die Größe PPh zu berechnen, da ihre Abweichung vom Maximalwert Eins anzeigt, wie stark Δ variiert.
Wenn Sie inhaltliche Anmerkungen zu diesem Artikel haben, können Sie die Redaktion per E-Mail informieren. Wir lesen Ihre Zuschrift, bitten jedoch um Verständnis, dass wir nicht jede beantworten können.