Lexikon der Optik: positionsempfindliche Photodiode
positionsempfindliche Photodiode, ein Festkörperphotoempfänger für UV-, sichtbare und IR-Strahlung, der die Position eines auf seine Sensorfläche auftreffenden Lichtstrahles anzeigt. Er besteht aus einer länglichen oder quadratischen Silicium-pin-Planardiode, deren Frontseite mit zwei bzw. vier Streifenelektroden kontaktiert ist, und deren Rückseite eine zentrale Gegenelektrode besitzt (Abb.). Die im Auftreffpunkt der Strahlung erzeugten Ladungsträger rufen Photoströme ![]()
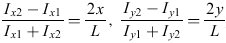
hervor, deren Größe (da die p-Schicht einen uniformen Widerstand besitzt), dem Abstand bis zur jeweiligen Sammelelektrode umgekehrt proportional ist. Damit ergibt sich für x-bzw. für x-y-Positionsmessungen ![]()
,
wobei L die Gesamtausdehnung des Sensors in x- bzw. in x- und y-Richtung ist. Die Signale der p. P. können ihrerseits in Meß-, Steuer- und Regelsysteme eingespeist werden. Für eine p. P. der Größe 13×13 mm2 werden eine Positionsauflösung (d.h. eine minimal erfaßbare Lichtpunktverschiebung) von 10 μm bei ±150 μm Positionsgenauigkeit und einer Zeitkonstante von 0,5 μs angegeben.
Anwendungen. P. P. werden für die Positions- und Winkelmessung optischer Strahlung, vor allem zur Laserjustierung und in Autofokus-Kameras eingesetzt.

Wenn Sie inhaltliche Anmerkungen zu diesem Artikel haben, können Sie die Redaktion per E-Mail informieren. Wir lesen Ihre Zuschrift, bitten jedoch um Verständnis, dass wir nicht jede beantworten können.