Lexikon der Optik: Rayleigh-Streuung
Rayleigh-Streuung, die elastische Lichtstreuung an Teilchen, die klein gegenüber der Wellenlänge λ des Lichtes und hinreichend weit voneinander entfernt sind, so daß zwischen ihnen keine Wechselwirkung vorhanden ist. R. kann sowohl an reinen, gasförmigen Substanzen (z.B. Luft) als auch an Fremdteilchen (z.B. kolloidal gelöste Teilchen oder Fremdatome in Festkörpern) erfolgen. Besonders eindrucksvoll ist sie an Luft; sie wird daher auch gelegentlich als Luftstreuung bezeichnet.
Da zwischen der einfallenden Strahlung und den von den einzelnen Teilchen ausgesandten Streuwellen eine feste Phasenbeziehung besteht, ist eine unregelmäßige räumliche Verteilung der streuenden Teilchen für das Auftreten von R. notwendig (Lichtstreuung). Bei reinen Substanzen ist die Unregelmäßigkeit der Teilchenanordnung eine Folge der Dichteschwankungen. Wegen der statistisch zufälligen momentanen Lage der Streuzentren ist die R. inkohärent, d.h., die Intensität der Streustrahlung ergibt sich durch Summation der Intensitäten der einzelnen Streuwellen.
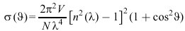
Der differentielle Streuquerschnitt für die R. an einem makroskopischen Volumen V eines gasförmigen Mediums ist gegeben durch![]()
.
Dabei bezeichnen ϑ den Streuwinkel, N die Teilchendichte und n(λ) den wellenlängenabhängigen Brechungsindex des Mediums. Die rechte Seite der Gleichung, bezogen auf die Volumeneinheit, wird Rayleighsche Streufunktion genannt. Sie wurde von Lord Rayleigh durch Anwendung der Maxwellschen Gleichungen auf die Wechselwirkung natürlichen (unpolarisierten) Lichtes mit voneinander unabhängigen kugelförmigen Teilchen in der Gasphase abgeleitet. Die Streustrahlung setzt sich aus zwei senkrecht zueinander polarisierten Anteilen mit den relativen Intensitäten i1 und i2 zusammen. Die Polarisationsrichtungen sind dabei senkrecht (1) bzw. parallel (2) zu der durch Einfalls- und Streurichtung bestimmten Ebene. i1 ist winkelunabhängig (proportional zu der Eins im zweiten Klammerausdruck der Rayleighschen Streufunktion), während i2 proportional zu cos2ϑ ist. Für ϑ=0, 180° ist demnach i1=i2, d.h., das Licht ist unpolarisiert; für ϑ=90°, 270° ist cos2ϑ=0 und damit i2=0, was vollständige Polarisation bedeutet. In der Abb. werden in einem Polardiagramm die relativen Intensitätswerte i1 und i2 und ihre Summe angegeben. Die Symmetrie des Diagramms bleibt so lange erhalten, wie die Teilchengröße klein gegenüber der Wellenlänge des Lichtes ist (etwa 50 nm). In der reinen Atmosphäre sind diese Bedingungen weitgehend erfüllt. Abweichungen treten durch das Vorhandensein von Aerosolen, wo die Teilchen wesentlich größer sind (Mie-Streuung), und infolge Mehrfachstreuung auf.
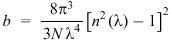
Integriert man σ(ϑ) über alle Streurichtungen, erhält man den totalen Streuquerschnitt, aus dem sich durch Division durch V der Rayleighsche Streukoeffizient![]()
ergibt. Die starke Wellenlängenabhängigkeit der Streuintensität in der Form λ-4(n(λ) hängt nur schwach von λ ab) führt dazu, daß blaues Licht mit λ=0,42 μm etwa 10 mal so stark gestreut wird wie rotes Licht mit λ=0,72 μm. Dies erklärt die bekannte Erscheinung des Himmelsblaus.

Wenn Sie inhaltliche Anmerkungen zu diesem Artikel haben, können Sie die Redaktion per E-Mail informieren. Wir lesen Ihre Zuschrift, bitten jedoch um Verständnis, dass wir nicht jede beantworten können.