Lexikon der Optik: Reflexion
Reflexion, die Zurückwerfung des Lichtes bei seinem Auftreffen auf die Grenzfläche zwischen zwei verschiedenen Medien. Ein nicht selbstleuchtender Körper wird erst dadurch sichtbar, daß er auf ihn fallendes Licht reflektiert. Man unterscheidet zwischen diffuser und regelmäßiger R. Bei der diffusen R. (auch Remission genannt) wird das gerichtet auffallende Licht in viele Richtungen zerstreut zurückgestrahlt. Die Ursache dafür ist eine Rauhigkeit der Grenzfläche mit einer Rauhtiefe, die in der Größenordnung der Lichtwellenlänge liegt. Für vollkommen diffus reflektierende Flächen gilt angenähert das Lambertsche Kosinusgesetz.
Regelmäßige (reguläre, gerichtete, spiegelnde) R. oder Spiegelung erfolgt, wenn die Rauhtiefe klein gegenüber der Wellenlänge ist. Hierfür gilt das Reflexionsgesetz: Der reflektierte und der einfallende Strahl bilden mit dem Einfallslot, d.h. der Normalen zur Grenzfläche im Einfallspunkt, gleiche Winkel (θ1=θ ![]()
; Abb. 1). Den Winkel θ1 bezeichnet man als Einfallswinkel, den Winkel θ ![]()
als Reflexionswinkel oder Ausfallswinkel. Einfallender Strahl, reflektierter Strahl und Einfallslot liegen in einer Ebene, der Einfallsebene. In der Regel wird nur ein Teil des einfallenden Lichtes reflektiert, da entweder Absorptionsverluste auftreten (z.B. bei Metallen) oder – im Falle von durchsichtigen Medien – mit der R. eine Brechung verknüpft ist. Nach DIN wird das Verhältnis von reflektierter zu einfallender Strahlungsleistung (Lichtstrom) als Reflexionsgrad bezeichnet. Im Falle von diffuser R. nennt man das entsprechende Verhältnis auch Remissionsgrad. Der Reflexionsgrad hängt bei einem gegebenen Material in der Regel von der Einfallsrichtung, der Polarisation und der Frequenz des Lichtes ab. Wird das Licht nur in einem schmalen Frequenzbereich reflektiert, spricht man von selektiver R. Diese ist die Ursache der Körperfarben.
Eine vollständige quantitative Beschreibung des Vorganges der gerichteten R. und Brechung liefern die Fresnelschen Formeln (A.J. Fresnel 1823). Sie ergeben sich als direkte Folge der Maxwellschen Gleichungen, wenn eine ebene linear polarisierte elektromagnetische Welle auf die Grenzfläche zweier Medien mit den Brechungsindizes n1 bzw. n2 fällt und die Grenzbedingungen beachtet werden (Stetigkeit der Tangentialkomponenten der elektrischen Feldstärke E und der magnetischen Feldstärke H). Zur Befriedigung der Grenzbedingungen ist eine reflektierte und eine gebrochene Welle anzusetzen, wobei das Reflexionsgesetz θ1=θ ![]()
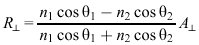
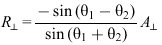
und das Snelliussche Brechungsgesetzn1sinθ1=n2sinθ2 erfüllt sein müssen. Dabei bedeutet θ2 den Brechungswinkel (Abb. 1). Weiterhin zeigt sich, daß sich die Polarisation der einfallenden Welle – deren elektrische Feldstärke schwingt entweder parallel (||) oder senkrecht (⊥) zur Einfallsebene – auf die der beiden anderen Wellen überträgt. Bezeichnet man die Amplituden von einfallender, reflektierter und gebrochener Welle mit A||, R||, T|| bzw. A⊥, R⊥, T⊥, so können die Fresnelschen Formeln geschrieben werden als![]()
(1)![]()
(2)![]()
(3)![]()
(4)
Dabei wurde von magnetischen Effekten abgesehen, d.h., es wurden die Permeabilitäten der beiden Medien als gleich vorausgesetzt. Unter Verwendung des Brechungsgesetzes lassen sich die Fresnelschen Formeln wie folgt darstellen![]()
(1')![]()
(2')![]()
(3')![]()
(4')
Die Amplitudenverhältnisse R||/A||, R⊥/A⊥ werden Reflexionskoeffizienten, die Größen T||;/A||, T⊥/A⊥ Transmissionskoeffizienten genannt.
Anmerkung: Aufgrund der nur aus historischen Gründen verständlichen Definition einer Polarisationsebene als der zu E senkrechten Ebene verwendet man an Stelle des Symbols || auch den Buchstaben s (Polarisationsebene senkrecht zur Einfallsebene) und an Stelle von ⊥ den Buchstaben p (Polarisationsebene parallel zur Einfallsebene).
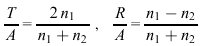
Für den Spezialfall senkrechten Einfalls (θ1=0) ist keine Einfallsebene mehr definiert; damit werden die Reflexions- und Transmissionskoeffizienten unabhängig von der Polarisationsrichtung. Es gilt![]()
. (5)
Hinweis: In den Lehrbüchern wird R|| meist in der Richtung positiv gezählt, die zu der in Abb. 1 angezeigten entgegengesetzt ist. Die rechten Seiten von (2) und (2') erhalten dadurch das entgegengesetzte Vorzeichen.
Aus R|| und A|| bzw. R⊥ und A⊥ ergibt sich der Reflexionsgrad
. (6)
Die Durchlässigkeit der Grenzfläche, definiert als das Verhältnis der durch die Flächeneinheit der Grenzfläche pro s hindurchgehenden Strahlungsenergie zu der auf die Flächeneinheit der Grenzfläche pro s auffallenden Strahlungsenergie ist gegeben durch
(7)
Aus Energieerhaltungsgründen gilt ρ||+τ||=1 sowie ρ⊥+τ⊥=1.
Sieht man zunächst von Totalreflexion und metallischer R. ab, so sind die Winkel θ1 und θ2 in den Fresnelschen Formeln reell, so daß sich bei R. und Brechung die Phase nur um 0 oder π ändern kann. Man erkennt aus (1) und (3), daß die Phase bei der Brechung ungeändert bleibt, während sie bei der R. am dichteren Medium (n2>n1 und damit θ1>θ2) nach (4) bei senkrecht zur Einfallsebene polarisiertem Licht generell einen Sprung um π erleidet. Das gleiche gilt nach (2') für die andere Polarisationsrichtung nur für θ1+θ2<π/2. Gleichung (2') enthält als Spezialfall das Brewstersche Gesetz: Für θ1+θ2=π/2 – der gebrochene Strahl steht senkrecht auf dem einfallenden – wird tan(θ1+θ2) unendlich. Daher verschwindet R||, so daß parallel zur Einfallsebene polarisiertes Licht nicht reflektiert wird. Nach dem Brechungsgesetz tritt dieser Fall dann ein, wenn tanψ1=n2/n1. Strahlt man daher unpolarisiertes Licht unter diesem speziellen, als Brewster-Winkel bezeichneten Winkel ein, so ist das reflektierte Licht senkrecht zur Einfallsebene vollständig linear polarisiert.
Die Fresnelschen Formeln gelten auch für die Totalreflexion. In diesem Falle liefert das Brechungsgesetz keinen reellen Wert für den Brechungswinkel θ2, vielmehr gilt
.
Des weiteren sind die Fresnelschen Formeln auch auf die Metallreflexion anwendbar. Da der Brechungsindex von Metallen komplex ist (Metalloptik), wird auch der Brechungswinkel θ2 eine komplexe Zahl.
Metalle zeichnen sich durch ein hohes Reflexionsvermögen aus (Abb. 2). Für senkrechten Lichteinfall ergibt sich der Reflexionsgrad zu
(8)
(Beersche Formel) mit![]()
als dem komplexen Brechungsindex. Wegen des Zusammenhanges![]()
zwischen den optischen Konstanten und der Leitfähigkeit σ des Metalls sowie der Kreisfrequenz ω des Lichtes (Metalloptik; die relative Permeabilität wurde gleich Eins gesetzt und ε0 bezeichnet die Dielektrizitätskonstante des Vakuums) kann man ρ im Falle 2ε0ω/σ ![]()
1 auch in folgender Form ausdrücken![]()
(9)
(Hagen-Rubens-Beziehung), die von E. Hagen und H. Rubens durch Messungen im IR-Bereich bestätigt wurde.
Das bei schrägem Einfall von einem Metall reflektierte Licht ist elliptisch polarisiert. Die Untersuchung des Polarisationszustandes dieser reflektierten Strahlung ermöglicht die Bestimmung der optischen Konstanten n und nΚ' des Metalls (Ellipsometrie).

Reflexion 1: Reflexion und Brechung an einer ebenen Grenzfläche.

Wenn Sie inhaltliche Anmerkungen zu diesem Artikel haben, können Sie die Redaktion per E-Mail informieren. Wir lesen Ihre Zuschrift, bitten jedoch um Verständnis, dass wir nicht jede beantworten können.