Lexikon der Optik: Reflexionsgrad
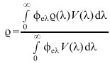
Reflexionsgrad, veraltet Reflexionsvermögen, Formelzeichen ρ, das Verhältnis der reflektierten (zurückgeworfenen) Strahlungsleistung zur auffallenden Strahlungsleistung. In der Photometrie versteht man unter dem R. das entsprechende Verhältnis der Lichtströme. Für monochromatisches Licht stimmen die beiden Definitionen überein. In der Regel ist der R. wellenlängenabhängig. Für den Gesamtreflexionsgrad des Lichtes gilt dann
,
wobei φeλ die spektrale Dichte der Strahlungsleistung der einfallenden Strahlung und V(λ) den spektralen Hellempfindlichkeitsgrad des menschlichen Auges bezeichnen.
Nach der richtungsmäßigen Verteilung der reflektierten Strahlung unterscheidet man die gerichtete, die gestreute (diffuse) sowie die aus den beiden Anteilen zusammengesetzte gemischte Reflexion. Der R. für die letztere ist dann die Summe der R. für die gerichtete und die gestreute Reflexion.
Weitere Größen, mit denen man die Reflexionseigenschaften eines Materials beschreiben kann, sind die folgenden:
Strahldichtefaktor β. Er ist definiert als das Verhältnis der Strahldichte Le eines Flächenelementes zu der Strahldichte Lew einer ideal mattweißen Fläche unter den gleichen Bestrahlungs- und Beobachtungsbedingungen, β=Le/Lew.
Wird statt der Strahldichte die Leuchtdichte gemessen, führt dies zum Leuchtdichtefaktor β.
Strahldichtekoeffizientqe. Darunter versteht man das Verhältnis der Strahldichte Le eines Flächenelementes und der Bestrahlungsstärke Ee dieses Flächenelementes unter gleichen Bestrahlungs- und Beobachtungsbedingungen, qe=Le/Ee. Die Einheit ist sr-1.
Werden anstelle der Strahldichte Le die Leuchtdichte L und anstelle der Bestrahlungsstärke Ee die Beleuchtungsstärke E gemessen, ergibt sich der Leuchtdichtekoeffizient q.
ReflexionsfaktorR. Dieser ist gegeben durch das Verhältnis der in einen gegebenen Raumwinkel reflektierten Strahlungsleistung bzw. des Lichtstroms zu der Strahlungsleistung bzw. dem Lichtstrom, der unter gleichen Strahlungsbedingungen durch eine ideal mattweiße Fläche in den gleichen Raumwinkel reflektiert wird.
Um bei Reflexionsmessungen vergleichbare und reproduzierbare Meßergebnisse zu erhalten, sind aufgrund der unterschiedlichsten Oberflächeneigenschaften und der daraus resultierenden verschiedenen räumlichen Verteilungen der reflektierten Strahlung Vereinbarungen bezüglich des Bestrahlungs(Beleuchtungs)strahlenganges sowie des Beobachtungs- oder Meßstrahlenganges zu treffen. Diese betreffen insbesondere die Bestrahlungsart (gerichtet oder diffus), den Öffnungswinkel und den Winkel von Beleuchtungs- und zu messendem Strahlungsbündel mit der Flächennormalen.
Wenn Sie inhaltliche Anmerkungen zu diesem Artikel haben, können Sie die Redaktion per E-Mail informieren. Wir lesen Ihre Zuschrift, bitten jedoch um Verständnis, dass wir nicht jede beantworten können.